Solved First give the technology formula for the given | Chegg.com
Python OOP Practice Set | Classes & Objects Questions with Solutions ...
Solved 2. The effect of the Fed's policy on the markets for | Chegg.com
Solved Figure above shows the one-line diagram of a simple | Chegg.com
Solved Consider the mechanism.Step 1:equilibriumStep | Chegg.com
Solved Question 2: # Given a range of numbers. Iterate from | Chegg.com
Solved Print a message telling a user to press the | Chegg.com
Solved 3 pointsA control structure specifies the sequence | Chegg.com
Solved Convergence ( 2 marks) Take the sample space Ω=[0,1], | Chegg.com
Solved Which of the following statements about cookies is | Chegg.com
Solved Proper physical justification MUST be given to | Chegg.com
Solved What volume in gas would be produced by the complete | Chegg.com
Solved After meeting with the student with the lowest grade, | Chegg.com
Master Python Basics: Key Concepts and Functions Explained | Course Hero
Solved: Use the following data set to answer the question. 26, 14, 40 ...
Problem 4. Use the moment distribution method to | Chegg.com
Solved Part D (4 of 12) - Predicting Changes in | Chegg.com
Solved A tube with a bell-mouth inlet configuration is | Chegg.com
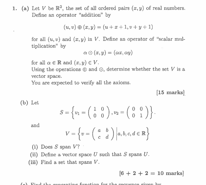
(a) Let V be $ {R}^2$, the set of all
Solved some photos for more information | Chegg.com
Solved 101-21692/chapter/3/section/17gy Programming Logic | Chegg.com
The accompanying table gives the observed counts for | Chegg.com
Solved Draw part A , B , CSolve part D | Chegg.com
Solved vehicle_type = "Truck"if | Chegg.com
Solved How many significant figures digits should be used to | Chegg.com
Solved Question 140.20512 pointsMy toddler sees a manatee | Chegg.com
Solved Question 19Apsychologist works with industries to | Chegg.com
Solved Sarah and Ishaan are in their late 20s, and both | Chegg.com
Solved Diego has three pairs of shoes, nine pairs of pants, | Chegg.com
Solved Qurtion 22 - Gam 2-CorvedFram 26Hely5 ve 4 | Chegg.com
Solved Question | Chegg.com
Solved ∫0π6(12)cosxsinxdx. NOT allowed to use Chegg or | Chegg.com
Solved please help | Chegg.com
Solved ln (Figure 1), F1=450lb,F2=150lb, and | Chegg.com
Solved Jump to level 1 Define a function CalculatePriority() | Chegg.com
Solved A website requires that passwords only contain | Chegg.com
Solved (a) Take a ln (natural log) of both sides like we | Chegg.com
Functions in Python Class 12 | Full Chapter Explained - YouTube
Get Homework Help with Chegg Study | Chegg.com
Python basics for beginer guide to learn python | PPTX
Simple Trolls - The sudden fall of Chegg shows how quickly... | Facebook
MATH 10550 Logic and Set Theory (Lecture Notes) - Propositional ...
Understanding Python Sets: Closure & Functional Dependencies | Course Hero
MATH 3: Logic and Set Theory Basics (Lecture Notes) - Studocu
Set Theory Overview and Operations - BCSC 1204 Discrete Mathematics ...
SET Theory Notes: Basic Concepts, Symbols, and Terminology - Studocu
Problem Set 4: Statistics & Probability Analysis - Studocu
Master your reps and sets for real gains
exact prompt he used btw: "don't search the internet. This is a test to ...
Solutions and Functions: Key Concepts in Algebra Explained | Course Hero
Chapter 13 Flashcards | Quizlet
Pin on Python
Identify The Most Appropriate Base To Deprotonate The Following ...
Level up your Python skills with functions
Webster County Throws Combined No-Hitter to Best Lady Panthers | Your ...
Dewalt-DWE4215-IN at ₹ 6515/piece | Angle Grinder in Hyderabad | ID ...
Upper and lower sets - Wikipedia
Identify The Predominant Intermolecular Force In Each Of These ...
Python Variables Explained For Beginners
Identify The Predominant Intermolecular Forces In Each Of These ...
Python Programming Lab 1: Problem Solving & Algorithm Tutorial - Studocu
Python Fundamentals Lesson 1: Variables, Data Types, and Operators ...
Python Practicals: Basics, Control Statements, and GUI (CS101) - Studocu
Unit 2: Functions and Files - Understanding Python Functions - Studocu
倒计时5天 | 第七届北京大学经济科学博士生学术论坛征文_论文_现代化_中国
L'Avalanche à une victoire du deuxième tour | LNH.com
The Fall of Chegg: How AI and ChatGPT Destroyed a $15 Billion EdTech ...
鸿福实业领高薪发薄息 引发企业治理疑虑 | 联合早报
深度 | 激光雷达的「CMOS 时刻」,终于要来了吗?_腾讯新闻
樂 Comment your answer ⚡ #python #programming #codinglife #developers # ...
Chegg Trivia Challenge: Students Solve Equations While Balancing on One Leg
Layoffs Tracker 2026: Real-Time Company Layoffs Data
Python-Basics-Assignments/Assignment-5 at main · TausifAliii/Python ...
Normal White Blood Cell (WBC) Count - Face Surgery
Just learned about **arithmetic operators in Python**! Feeling one step ...
Oval Office photo and manifesto deepen security scrutiny after attack
What you didn't know about Chegg and it impacts your career moat because...
AI-powered study tools changing higher education
Master your writing with AI-powered tools
Draw Cis-1-ethyl-3-isopropylcyclohexane In Its Lowest Energy ...
Chegg, Sea, Wayfair, Etsy, and Duolingo Shares Skyrocket, What You Need ...
Chegg Sues Alphabet, Says Google AI Led to Strategic Review
Chegg Layoffs 2024: Office Closures & Staff Cuts - News Usa Today
Canadiens’ Kirby Dach supported by teammates after Game 2 OT blunders
Curved Arrow Notation Derive Second Equation Of Motion By Graphical ...
Incomplete Combustion Equation Phet Balancing Chemical Equations ...
This company becomes first to be wiped out by AI...
Nike Factory Store Cheshire Oaks. ELLESMERE PORT, GBR. Nike.com GB
Draw Cis-1-ethyl-2-isopropylcyclohexane In Its Lowest Energy ...
Propane Combustion Chemical Equation Is Rust A Synthesis Reaction ...
Propane Balanced Combustion Equation Ncert Physics Formula Pdf
Propane Balanced Chemical Equation Aqa Physics Equations To Learn
Mounjaro Side Effects What You Need To Know
李纯马頔的婚姻让人羡慕,孙杨张豆豆却让观众窒息,问题出在哪?_行程_秦昊_团队
S-03国军标,圆钢强韧军工造,上海渊钢品质高_热处理_高性能_低温
US Chegg company News in Marathi, Latest US Chegg company news, photos ...
哥伦布机员VS费城联合:比分预测_比赛_进攻_战术
有鱼生活|什么是文创?文创如何真正走进日常?_文化_产品_内核
失眠最怕的菜,建议大家:隔天吃一次,养肝助睡眠,一觉到天亮
AI का असर: अमेरिका की Chegg की 15 अरब डॉलर कंपनी पर संकट - video ...
에이수스, 플래그십 성능과 초슬림 디자인 결합한 2026 ROG 제피러스 신제품 3종 선보여
Sentenced to Be a Hero Strafe: Rettungseinsatz im Hafenviertel Ioff ...
Grok官网入口:2026年最新Grok 4.2 国内保姆级使用指南 - 知乎
1-Zimmer Wohnung zu vermieten, 41472 Nordrhein-Westfalen - Neuss ...
“챗GPT 등장에 백기”… 체그, 전체 직원 45% 해고
为方便村民退换货,快递驿站老板加装试衣间还配全身镜,老板:村民取快递要走山路或坐班车_凤凰网视频_凤凰网
Haus zu vermieten, Bernhard-Lichtenbergstraße 42, 76189 Karlsruhe ...
@嘚瑟~的抖音 - 抖音
Polizei-News Ilm-Kreis, 24.04.26: Aufhebung der Öffentlichkeitsfahndung
jinsheng的抖音 - 抖音
Based on this image's title: “Solved Python Sets A. Set Basics: Given the set definitions | Chegg.com”