Lecture 1 (Part 1) - Course Logistics and Gentle Overview | PDF | Email ...
Lecture 1 (Part 1) | PDF | International Financial Reporting Standards ...
Mastering CA Final FR | New Course | Lecture 1 Part 1 - Introduction🎓 ...
CNG111 Lecture 1-Part 1 | PDF | Computer Program | Programming
Handout C Lecture 1 Part 1 Intro To C 1 AA NEW Date 27-06-2023 | PDF ...
Lecture 1 Part 1: Approximate Dynamic Programming Lectures by D. P ...
Lecture 1 (Part 1) - Overview, Logic & Bias, and Critical Thinking | PDF
Digital Forensics Lecture - 1 Part - 1 | PDF | Digital Forensics ...
Lecture 1 - Part 1 - What Is Statistics | PDF | Sampling (Statistics ...
ZKCamp’s Aleo Course 1/2. Lecture 1 / Part 1 — Formal definition… | by ...
BL1011 - Reproductive Endocrinology - Lecture 1 - Part 1 - Tagged | PDF ...
WK26 - Lecture 1. Part 1 Introduction - 2023 Final v3 | PDF | Petroleum ...
Chemistry - S2 - Sara Mohamed Lecture 1 (Part 1) - Lesson 1 - Atomic ...
COMP 216 - Lecture 1 - Part 1.pptx - Networking for Software Developers ...
01- Lecture 1 (Part 1)-3 - Integrated Marketing Communications 24210 ...
Lecture 1 (Part 1) | PDF | Debt | Bonds (Finance)
Python Programming Fundamentals | PDF
Python Programming Fundamentals: A Comprehensive Guide For Beginners ...
Lecture 1 (part 1) - YouTube
Lecture 1 Part 1 | PDF
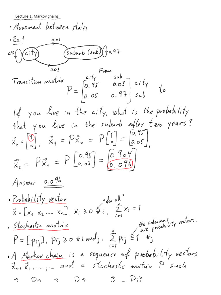
Lecture 1 Part 1 Markov Chains | PDF
PHIU9C4 - Lecture 1 Part 1 (slides made and recorded in 2023 - typo in ...
MT (DPY 121) Lecture 1 Part 1 - How To Build and Define A Medical Term ...
BIOL 286 LECTURE 1 PART 1 | PDF | Biological Pest Control | Pollination
Lecture 1 Part 1.pdf - 8/02/2021 Part 1: What is accounting and ...
Lecture 1 | Part 1 | Introduction and Definition - YouTube
CMA Online - Lecture (1) - Part 1 Batch 4 - Section (A) - Financial ...
Lecture-1 Part 1 Introduction of Cyber Forensics | PDF | Cybercrime ...
INF10025 Lecture 1 - Part 1 | PDF | Relational Database | Databases
Lecture 1 Part 1 Physics | PDF
Lecture 1 Part 1-Soil Composition | PDF
Lecture 1 Part 1 Analog and Digital System | PDF
Pathophysio Exam 4 .pdf - Pathophysiology Exam 4: Lecture 1 Part 1 Oct ...
Lecture 1, Part 1 Nutrition and Metabolism | PDF | Food Energy | Nutrients
Lecture 1 Part 1 - MGMT 490.docx - LECTURE #1 PART 1 MGMT491: STRATEGY ...
Lecture # 1 Part 1 FRM Spring 2025 Risk Systematic Unsystematic Etc ...
Lecture 1 | Part 1 | Introduction - YouTube
Cardiovascular Physiology - Lecture 1 (Part 1,2,3).pdf
Periodontology lecture 1 part 1 2003 | PPT
Lecture 1 Part 1 Renaissance | PDF
Lecture 1 (Part 1)
Lecture 1 Part 1 | PDF | Resonance | Waves
Lecture 1 Part 1 CH 5 SDT Trong Chan Khong | PDF
Practice quiz answers - Warning: TT: undefined function: 32 Lecture 1 ...
Lecture 1 part 1 2021 - Lecture 1 part 1 Time: 04: Note: What is - 1494 ...
BIO20 Lecture 1 part 1.pptx | Free Download
Lecture 1 - Part 1 - Algorithmic Discrimination – Dr Rossana Ducato ...
Lecture 1 Part 1 - notes - SOAS, UNIVERSITY OF LONDON SCHOOL OF LAW ...
BLP Week 1 - workshop 1 notes - Lecture 1 Part 1 (Attended) Business ...
ESA - lecture 1 part 1 energy system analysis | PPT
CF Lecture 1 Part 1.pdf - Corporate Finance UvA Raising Equity Capital ...
Introduction to Web Development Lecture 1 Part 1 - Introduction to Web ...
Lecture 1 Part 1 | PDF | Computational Neuroscience | Applied Mathematics
Lecture 1 Part 1 | PDF | Metre (Poetry) | Rhyme
MATH 410 Lecture 1 Part 1 Fall 2020 - MATH 410 - Scientific Data ...
Lecture 1 (Part 1): Block Diagrams - YouTube
CS50x Problem Set 1 - Mario More | Jordan Rogers
Lecture 1 part 1 - YouTube
Lecture 1 Part 1 - YouTube
Chapter 2 Lecture 1 Part 1 - YouTube
Lecture 1. Part 1. The History of Nursing (Short Version For Exam ...
Lecture 1 - Part 1 - Introduction - CP412 - Strath - Studocu
Lecture 1 Part 1 Didactics and Pedagogy 1
NLP in data analytics and effects on business intelligence (lecture 1 ...
Lecture 1 Part - 1 (Process Explained) - YouTube
Lecture 1 part 1
Lecture 1 Part 1 Applied Math's I Mid Term Exam AAU - YouTube
Lecture 1, Part 1: Linear Regression: Roger Grosse | PDF | Mathematical ...
COMP1511 Week 2 Lecture 1 Part 1 - YouTube
LECTURE 1 PART 1 FR OLD BOOSTER REVISION - YouTube
SBCP PNS Lecture 1 - Part 1
lecture 1 part 1 - YouTube
Lecture 1 Part 1 - Introduction - YouTube
Human Reproduction Lecture 1 part 1 - YouTube
Lecture 1. Part 1-Regression Analysis. Correlation and SLRM | PDF ...
CHM5001 Chemometric Lecture 1 part 1 - YouTube
Lecture 1 - Part 1 (Body fluid compartments) - YouTube
Ch18 DDP Presentation Lecture 1 part 1 - YouTube
Mixing Lecture 1- Part 1 - YouTube
lecture 1 part 1 week 4 algorithm flow chart - YouTube
Informatics 1B Lecture 1 Part 1 - Media Hopper Create
HPA 507 Lecture 1, Part 1 - YouTube
BIO20 Lecture 1 part 1.pptx
Polity lecture 1 (PART-1) - Target per 2023 - Notes - Teachmint
ICT203 Lecture 1 Part 1 - YouTube
BEM Lecture 1 Part 1-1 - YouTube
Outline Lecture 1 part 1 Motivation Model Checking
Lecture 1 part 1 communication - YouTube
Practical Lecture 1 Part 1 - YouTube
Wireless Lecture 1 Part 1 - YouTube
SOLUTION: Nucleic acids structure lecture 1 part 1 - Studypool
HPPP Lecture 1, Part 1
Corporations Law Lecture 1: Course Administration and Key | Course Hero
SYJC | Secretarial Practice | Chapter 2 | Source of Corporate Finance ...
AIOU Course Code 9374 BS English (Pak Study) Lecture-1/ Part 1 - YouTube
LECTURE-1 PART-1( Concept on Basic Statistics) | PDF
Biddabari Mathematics Lecture-1 Part-1 | PDF
Lecture 1(Part 1): Coins and Dice - YouTube
Geo informatics Lecture-1 part 1#icar #cucetbscagriculture #bpsc # ...
Eva Fidan Abdullayeva on LinkedIn: CS 182: Lecture 1, Part 1: Introduction
Planning to take the Level II exam in 2024? Check out these new ...
Organic Chemistry Nomenclature Guide | PDF | Alkane | Methyl Group
Lecture 1: Part 1: Database - YouTube
Lesson 1: Introduction to Financial Management | PPTX
LVMT Online lecture 1, part 1, 2024 - YouTube
Cost Management Systems notes.docx - Cost Management Systems 22321 ...
Computer Networking - online presentation
Lecture#1 part #1 - YouTube
Abeer Yousef on LinkedIn: MS507 Lecture-1 Part-1
Based on this image's title: “Python Programming Fundamentals for CFA Candidates | Lecture 1 (Part 1 ...”