CS301P Lab 1 Solution | PDF | Computer Programming | Software Engineering
Python Programming Lab (15Mc65P) | PDF | Computer Programming ...
Lab 1 | PDF | Computer Science | Software Development
CS 1101 Learning Guide Unit 1 Programming Assignment Home | PDF ...
CS4LB3 Python Programming Laboratory Cycle 1 Experiments | PDF ...
1st Puc Cs Lab Manual-2021-003-081 | PDF | Computer Programming ...
Python Lab Exercise 1 | PDF | Python (Programming Language) | C ...
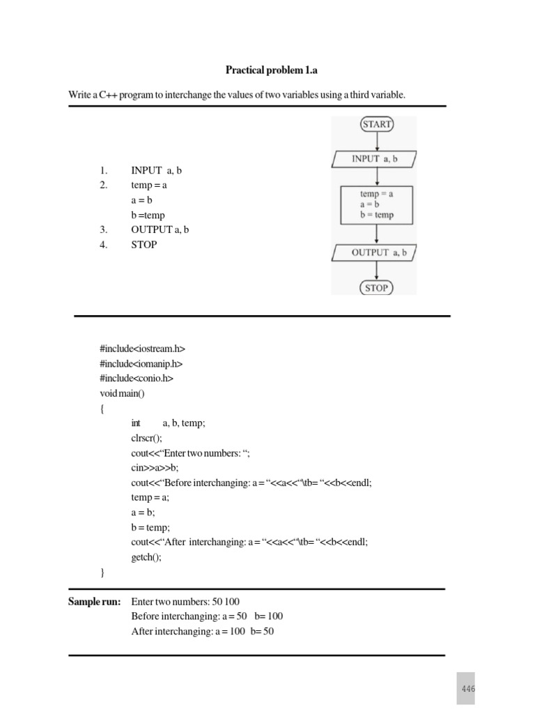
Cs Lab | PDF | Software | Computer Programming
Lab No 1 | PDF | Computer Program | Programming
01 Laboratory Exercise 1 | PDF | Python (Programming Language) | Computing
Practice Exercises Lab | PDF | Computer Programming | Computing
lab1 | PDF | Integer (Computer Science) | Computer Programming
CS Practical | PDF | Computer Programming | Mathematics
12th CS Practical Manual-1 | PDF | Computer Program | Programming
12 CS Practical-1 | PDF | Programming | Computer Program
Lab03: Python Programming 2: Exercises | PDF | String (Computer Science ...
CS125 Lab 1: Programming Basics | PDF | Integer (Computer Science ...
UCLA CS 31 Practice Final | PDF | Areas Of Computer Science | Computer ...
CSC 301 - Visual Programming - Lab Exercise 2 | PDF
Final Consolidated 24CSP29 Python Programming Laboratory Programs | PDF ...
cs3401 Lab Exercises - 1 | PDF | Applied Mathematics | Theoretical ...
CS Practical File | PDF | Area | Computer Programming
05 CS1 Unit 3 - Lesson 2 | PDF | Control Flow | Computer Programming
19cs301problem Solving and Python Programming | PDF | Python ...
BCA (2019) Semester - 6-CS-33 PROGRAMMING IN PYTHON | PDF | Python ...
Lab Manual For: Advanced Python Programming Lab (CS311PC) | PDF ...
Python Programming Assignment Overview | PDF | Python (Programming ...
Python Programming Lab Exercises | PDF
SL (Data Science With Python) CSBS Sem III Lab Man_250723_123032 | PDF ...
CSCI300_Assessment3 | PDF | Method (Computer Programming) | Class ...
CSC2401 Lecture 2 | PDF | Variable (Computer Science) | Python ...
CSC1201 Python Programming | PDF | Control Flow | Programming
Python Progrmming Lab | PDF | Control Flow | Computer Program
CS3271 - PROGRAMMING IN C LABORATORY | PDF
Lab 1 for CS 250 - Intro to Computer Programming - CS Lab Exercise 01 ...
CS3691 Lab Exercises 5,6,7,8,9,11 | PDF | Bit | Python (Programming ...
CSC Python Programming | PDF
Computer Science File | PDF
Python Programs: Vowels, Files, and More | PDF | String (Computer ...
Lab Session 37 (python) | PDF | Method (Computer Programming) | Class ...
LAB 1 - REPORT - Page 1/ Computer Programming and Applications (CSC430 ...
CS Python Practicals Outputs | PDF
Cs Lab Programs | PDF
CSC ch1 | PDF
Solved CS 115 - Introduction to Programming in Python Lab | Chegg.com
Exercise07 cs1 | PDF | Teaching Methods & Materials | Computers
CS304 Lecture 3 Programs | PDF | Teaching Methods & Materials | Computers
CS 115-Introduction to Programming in Python Lab | Chegg.com
CS304 Lecture 5 Programs | PDF
CSC121 Lab12 | PDF
CSC 201 Lab Exercises and Questions | PDF
BCSL305 Data Structures Lab Manual | PDF | Teaching Methods & Materials
Python Functions for Math Operations | PDF
Lab1 For Module3 - Python Code | PDF | Data Management | Data
CS Practical | PDF
CSC305 Chapter 1 - Programming Paradigms - Chapter 1: Introduction to ...
Unit 5 Code Programming Exercises: CSCI 314 Programming | Course Hero
CS101 Lab05 Revised | PDF
CS1 Practicals | PDF
Solved CSC121 PYTHON PROGRAMMING LAB 04 ITERATIVE CONTROL | Chegg.com
CSC305 - Topic 1 Tutorial - CSC305 : PROGRAMMING PARADIGM Topic 1 ...
Solved CSC121 PYTHON PROGRAMMING LAB 02 WRITING SIMPLE | Chegg.com
Python Pattern Printing Solutions | PDF
VTU 1st Sem Python Lab Manual | PDF
Python Programming Practice with Loops and Functions | Course Hero
Solved CSC121 PYTHON PROGRAMMING LAB 01 DESIGNING ALGORITMS | Chegg.com
CS3691 Lab Exercises 5,6,7,8,9,11 | PDF | Arduino | Raspberry Pi
Labexercise - lab exercise - CSC 402 LAB EXERCISE QUESTION 1 Type the ...
CE05 - practical - CSC1024 Programming Principles Coding Exercise 5 ...
Introduction to computer programming lab work solutions - week3-lab ...
Lab 5 - Python Programming 1 .pdf - Centennial College SCHOOL OF ...
CSC305 - Topic 3 Tutorial - CS110/CSC305 Topic 3 Tutorial 1 Topic 3 ...
Csc305 Exercise 2 - programming paradigms - Studocu
Laboratory Exercise 004 - Alvin Bohol BS Computer Science CS201 ...
CSC121 Lab01 2 1 - CSC121 PYTHON PROGRAMMING LAB 01 DESIGNING ALGORITMS ...
Solved CPSC 110 Lab #2 Welcome to your first Python program | Chegg.com
LAB Exercise 5 - practice - COLLEGE OF COMPUTER STUDIES CCS0003L ...
CSC121 Lab03 1 - CSC121 PYTHON PROGRAMMING LAB 03 SELECTION CONTROL ...
CSC126 Lab 1 - CSC 126 lab 1 - CSC126 Introduction to Computer ...
lab08 v1 1 .pdf - CS 115 - Introduction to Programming in Python Lab ...
Csc 404- Lab 1 - Introduction to Computer Programs. - Lab 1 ...
CSC105 Lesson 1 Additional Exercise Answers.pdf - CSC105 Lesson 1 ...
CP LAB ASS-03.docx - CSL-113: Computer Programming Lab Semester BS CS ...
Lab 1 - Lab 1 - CSci 130 - Introduction to Scientific Programming Room ...
CSC305 - Topic 2 Tutorial (Part 2) Programming Paradigm - CS110/CSC305 ...
Practical 1 - .... - Computer Science - Studocu
Lab 03 Exercises V5.pdf - IT1007 Introduction to Programming with ...
CSC121 Lab05.docx - CSC121 PYTHON PROGRAMMING LAB 05 LISTS PART I ...
CSC121-Lab02.docx - CSC121 PYTHON PROGRAMMING LAB 02 WRITING SIMPLE ...
LAB 5.docx - CSC 1301: PRINCIPLES OF COMPUTER SCIENCE Lab 5 Problems ...
CSC305 - Topic 4 Tutorial - CS110/CSC305 Topic 4 Tutorial 2 Topic 4 ...
CSC305 - Topic 3 Tutorial (Part 1) - @Universiti Teknologi MARA CS110 ...
Lab02 New.pdf - CS 115 - Introduction to Programming in Python Lab 02 ...
CSC121-Lab09.docx - CSC121 PYTHON PROGRAMMING LAB 09 PYTHON MODULES ...
Lab08C.pdf - CS 115 - Introduction to Programming in Python Lab Guide ...
CS 3305-01 Web Programming 2 Unit 4 - CS 3305.docx - CS3305 - Advanced ...
CSC 101 Lab2 Program Basics.docx - CSC 101 - Intro to Computer ...
Lab Exercises CS304 - 2nd - Programming Labs 1- CS304 – Object Oriented ...
CSC305 - Topic 3 Tutorial - CS110/CSC305 Topic 3 Tutorial 2 @Universiti ...
Exercise-3-1 - Copy - TECHNICAL - COLLEGE OF COMPUTER STUDIES CCS007L ...
Lab03 v2.pdf - CS 115 - Introduction to Programming in Python Lab 03 ...
CSC121 Lab10 sol - CSC121 PYTHON PROGRAMMING LAB 10 MODULAR DESIGN ...
Csc305 compiling and debugging - Compiling and Debugging Lab Csc 305 ...
Lab 1 - Introduction to Python - Department of Computing CS370 ...
CSC121 Lab10 4 .docx - CSC121 PYTHON PROGRAMMING TEXT FILES AND STRINGS ...
Lab01 Python 1 - cố làm - Faculty of Information Technology Applied ...
Lab01A.docx - CS 115 - Introduction to Programming in Python Lab Guide ...
Learning Guide Unit 4-CS 3305 - CS 3305-01 Web Programming 2 - AY2022-T ...
Lab1.pdf - Lab № 1 CSCI B505 Applied Algorithms 01/14/2022 Instructions ...
Python Lab Manual: CS25C02 - Practical Programming Experiments - Studocu
CS105 – Python Programming
CSC130-Lab01A.docx - CSC130 COMPUTING FUNDAMENTALS II LAB 01A BASIC ...
CSC401 - Introduction to Programming, Ch2 - CSC401, CSC 401 Test 2 ...
SOLUTION: Csc 305 practical - Studypool
Lab2 - practice materials for exam - CS 303 - Studocu
I PUC – CS Lab Manual: Practical Python Programs & Exercises - Studocu
Based on this image's title: “csc305 PYTHON_LAB EXERCISE 1 | PDF | Computer Programming | Software ...”