PROBLEMAS-TECNOLOGIA-E-INGENIERIA-1o-BACH.pdf
TEMA 8 - Actividades 1 - 7 (Página 162) - TECNOLOGÍA 1º Bach A. | PDF
Libro PROBLEMAS RESUELTOS DE PRUEBAS EBAU DE 2024 DE TECNOLOGÍA E ...
Tecnología e Ingeniería 1 - 2º Bach - Relación Descriptores | PDF
PD Tecnologia-e-Ingenieria-I 1bach 2024 2025 | PDF | Evaluación ...
Sistemas Mecánicos en Ingeniería Bachillerato | PDF | Ingeniería
Prueba-Inicial-1º-bach-tecnologia e Ingenieria | PDF | Electricidad ...
978-84-7063-662-2 Tecnología e Ingeniería I – 1º Bachillerato ...
Temario Tecnología e Ingeniería 1º Bachillerato | PDF | Arte | Informática
Tecnología e Ingeniería - 2º Bach LOMLOE (Ed. Donostiarra 2023) | PDF
DA-1 BACH TECNOLOGÍA E INGENIERÍA 22 | Digital book | BlinkLearning
Portada T3 Tecnología e Ingeniería 1º Bachillerato A4 | PDF
Tecnologia e Ingenieria BACH Currículo LOMLOE | PDF | Evaluación | Plan ...
Criterios Tecnologia e Ingenieria I 1o BTO 24 25 | PDF | Evaluación ...
1º Bach Tecnologia e Ingenieria I Maquinas y Sistemas | PDF | Cinturón ...
Apuntes Segundo Trimestre 1o Bachillerato Tecnologia e Ingenieria | PDF
Tecnología e Ingeniería I: Contenidos y Beneficios | PDF
Relación entre Ciencia, Tecnología e Ingeniería | PDF | Ingeniería ...
Estudio de Tecnología e Ingeniería en Bachillerato | PDF | Ingeniería ...
Programación - Tecnologia e Ingenieria I | PDF | Diseño | Aprendizaje
Tecnología e Ingeniería II – 2º Bachillerato | Digital book | BlinkLearning
Examen Tecnología Sostenible 1º Bach. | PDF | Ingenieria Eléctrica ...
TECNOLOGIA E INGENIERIA 2º BACHILLERATO - ELENA ... [ET AL.] CEDENILLA ...
Ciencia, Tecnologia e Ingenieria | PDF
Ejercicios CINEMÁTICA 1º BACH | PDF | Tecnología e ingeniería
Problemas de Tecnología | PDF | Engranaje | Ingeniería mecánica
LIBROS 1o BACH CIENCIAS Y TECNOLOGIA | PDF | Science
Tecnologia Industrial 1 Bachillerato Problemas Resueltos Pdf
Tecnologia e Ingenieria I 1 Bachillerato Unidad 1236.PDF I0KPRZOMK 1600 ...
Problemas de Tecnologia de Los Materiales | PDF | Deformación ...
TECNOLOGÍA E INGENIERÍA 1º BACH - La energía y su transformación ...
Tecnología e Ingeniería 1.º Bachillerato - 9788448627768 (LOMLOE ...
Evaluación Inicial Tecnologia e Ingenieria (1) | PDF
Libro Tecnologia E Ingenieria 1 Bachillerato
Tecnologia e Ingenieria I | PDF
Curso 1º BACH. Tecnología e Ingeniería 1 AulaVirtual | PDF ...
Foto-Competencial-Tecnologia-E-Ingenieria Bach | Descargar gratis PDF ...
Matemáticas para La Ingeniería Teoría y Problemas Resueltos | PDF
Tecnologia e Ingenieria | PDF | Ingeniería Industrial | Ingeniería
Libro PROBLEMAS RESUELTOS PRUEBAS EBAU 2025 DE TECNOLOGÍA E INGENIERÍA
TECNOLOGIA E INGENIERIA I - San Cristobal Libros SAC. Derechos Reservados
Download this file (1º BACH TECNOLOGÍA.pdf)
Ejercicios resueltos de Tecnología Industrial I Primero de Bachillerato ...
Tecnologia e Ingenieria II Pau Junio 2025 | PDF | Bomba de calor ...
Simplificación y Análisis de Circuitos Lógicos | PDF | Electrónica ...
Tecnologia e Ingenieria II 2 Bachillerato | PDF
(PDF) UNIVERSIDAD NACIONAL ABIERTA Y A DISTANCIA – UNAD Escuela de ...
⚙️ Exámenes de EBAU de Tecnología e Ingeniería | Descargar exámenes ...
Tecnología e Ingeniería 1.º Bachillerato - (LOMLOE) - Especialistas en ...
Ejercicios trabajo y energia - IES SANTO TOMÁS DE AQUINO 2023/2024 1º ...
TECNOLOGIA e Ing | PDF | Termodinámica | Física Aplicada e ...
Ciencia, Tecnologia e Ingenieria | PDF | Ingeniería | Conocimiento
Examenes PDF Tecnologia 1 Bachillerato Resueltos 2026
Ciencia, Tecnologìa e Ingenierìa | PDF
1º Bach Tecnología e Ingenieríapresentación asignatura
1º Bachillerato Tecnología Industrial I 2021-22 | PDF | Red eléctrica ...
7204083 | EJERCICIOS TECNOLOGÍA 1º ESO PROCESO
Tecnologia e Ingenieria | PDF | Física Aplicada e Interdisciplinaria ...
Tecnología -E.S.O. e Ingeniería -Bachillerato: 1º Bach.
temario tecnologia e ingenieria | PDF | Tolerancia de ingeniería ...
TecnoInFe: Tecnología, Informática y Educación: Tecnologia 1 Bachillerato
Solucionari Tecnologia 2 Bachillerato | PDF
Libros Texto 2o BACH 2023 24 MODIFICADO TECNOLOGIA E INGENIERIA Y ...
Cuaderno de Ejercicios de Tecnologia 1º Eso | Plan de estudios ...
Problemas - Tecnologia Trab Avaliado | PDF
Física I Problemas Ingeniería | PDF
Tecnología e Ingeniería II. 2º BACH – I.E.S. Arquitecto Pedro Gumiel
978-84-7063-726-1 Tecnologías de la Información y la Comunicación I ...
Problemas de Tecnologia Industrial | PDF
Relación problemas AC Temas 1-5 - Análisis De Circuitos. 1º Grado En ...
Entrega 1 - Repaso Diedrico 1o Bach SOLUCIONES | PDF
Examen_titular-A_tecnologia e Ingenieria II | PDF
Problemas-dinamica-1o-bach.pdf
Tecnología e Ingenieria II | PDF
Libro PROBLEMAS RESUELTOS DE PRUEBAS EBAU DE TECNOLOGÍA E INGENIERÍA
Problemas resueltos de tecnología eléctrica por BACHILLER SOLER ...
Tecnología -E.S.O. e Ingeniería -Bachillerato: BACHILLERATO
Tecnología -E.S.O. e Ingeniería -Bachillerato: septiembre 2018
Materiales.pdf
Tecnología e Ingeniería II: Ejercicio Resuelto 1 - Cálculo de Vigas ...
problemas tecnología industrial ii
Ejercicios 6 PDF | PDF | Ciencia y Tecnología | Ingeniería
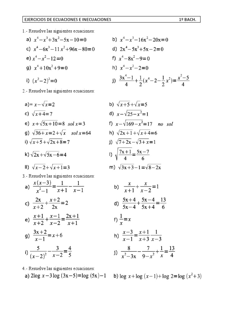
Ejercicios de Ecuaciones e Inecuaciones 1º Bach | PDF
Tecnologia e Ingenieria Civil - Grupo 7 | PDF | Ingeniería | Ingeniero ...
EJERCICIOS-Y-APUNTES-de-Clase-Corriente-Alterna-or-Tecnologia-2o-Bach ...
Exercicis Resolts Tecnologia (1er Batxillerat) | PDF
Examenes Tecnologia 1 | PDF
elementosmecanicosTecnologia.pdf
Tecnologia 1 bachillerato | Milanuncios
Examen Tecnología e Ingeniería II 2024 | PDF | Software | Internet de ...
Guía completa sobre tecnología e ingeniería en 1º de bachillerato: Qué ...
Solucionario Matematicas I 1o BACH Santillana TEMA 5 Numeros Complejos ...
Tecnologias 1º Ano | PDF
Tecnologia 1 Eso Ejercicios Resueltos - Gráfico de Noticias
Examen de Tecnología e Ingeniería II 2023 | PDF | Inteligencia ...
Es N 1674470509 Guia Interactiva Trabajar La Competencia Matematica y ...
SISTEMAS Repaso Cuarto Bach | PDF | Ingeniería Informática | Tecnología ...
Mod Tecnologia e Ingenieria Ii | PDF
Problemas Resueltos Vigas Isostáticas
TEMA-2.pdf
Problemas-1o-parcial.pdf
Solucionarios McGraw - Hill Editorial | Soluciones y Ejercicios
Cálculo de Vigas Reticuladas y Tensores | PDF | Viga (Estructura ...
Ejercicios Estructura | PDF | Viga (Estructura) | Ingeniería mecánica
Ejercicios Resueltos De Tecnologia E Ingenieria Ii: Segundo | MercadoLibre
TECNOLOGIA E INGENIERIA I