Thermodynamics - Formula Sheet | PDF
Thermodynamics Formula Sheet | PDF
Thermodynamics Formula Sheet 2018 | PDF | Exergy | Nature
Sample Formula Sheet For Thermodynamics | PDF | Physics | Classical ...
Formula sheet Heat & Thermodynamics | PDF
Thermodynamics Formula Sheet JEE NEET | PDF
Thermodynamics Formula Sheet | PDF | Continuum Mechanics | Thermodynamics
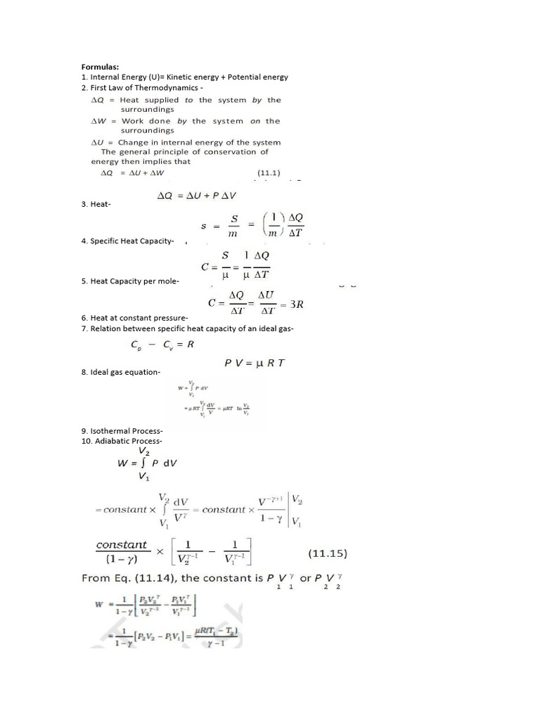
Thermodynamics formula Sheet | PDF
Cbse Class 11 Thermodynamics Formula Sheet | PDF
Class 11 Thermodynamics Formula Sheet | PDF | Heat | Thermodynamics
Thermodynamics Formula Sheet | PDF | Gases | Temperature
Thermodynamics Equations Sheet | PDF
Physics Class 11 Formula Sheets - Thermodynamics FS | PDF | Heat ...
Thermochemistry Formula Sheet Guide | PDF | Heat | Calorimetry
Formula Sheet for Thermodynamics - SCI-2B Final Review Guide - Studocu
Thermodynamics Formula Sheet
Thermodynamics Formulas | PDF | Heat | Gases
Formulas For Thermodynamics 1 | PDF | Systems Theory | Mechanics
Chemical Engineering Thermodynamics Formula Sheet
001 THRM-200 Formula Sheet - Thermodynamics 200 - Formula Sheet Version ...
Thermodynamics Formula Sheet - ENGR 101 Final Exam Notes - Studeersnel
Here's A Formula Sheet For Thermodynamics (Class 11) Covering All ...
SOLUTION: Formula sheet of thermodynamics - Studypool
Formula Sheet for Engineering Thermodynamics (H3052) - Key Equations ...
Formula Sheet of Thermodynamics Chemistry
Applied Thermodynamics Formulas | PDF | Enthalpy | Entropy
SOLUTION: Thermodynamics formula sheet - Studypool
thermodynamics formula sheet - THERMODYNAMICS FORMULA SHEET II.H ...
Thermodynamics Formula Sheet: Constants, Polytropic Process, | Course Hero
Thermodynamics Formula Sheet (MMAN2700) - Key Equations & Concepts ...
Recommendation Thermodynamics Formula Equation Sheet Physics Basic ...
Chemistry - Thermodynamics Formula sheet (cheat sheet) - Chemistry ...
Thermodynamics Complete Formula Sheet For Jee And Neet| Easy Study # ...
Equation sheet for Thermodynamics | ME 2334 - Docsity
APSC252 Thermodynamics Formula Sheet
Revision Thermodynamics Formula sheet Formula sheet Formula sheet
Thermodynamics formula sheet r - Thermodynamics and Equilibrium Formula ...
SOLUTION: Thermodynamics formula sheet chemistry neet - Studypool
2018 - ENME2TH - Test 2 - Thermodynamics Formula Sheet - Studocu
Classical Thermodynamics Formula PDF (Physics Formula)
SOLUTION: THERMODYNAMICS FORMULA SHEET 1 - Studypool
Thermodynamics Formulas Cheat Sheet
Thermodynamics Formulas printable pdf download
Thermodynamics Formula Sheet: Chapters 1-7 Overview - Studocu
43071613 Thermo Formula Sheet - THERMODYNAMIC EQUATION SHEET First Law ...
Thermodynamics Formulas & Equations Reference Sheet
Thermodynamics_Formula_Sheet_Compact | PDF
All Formulas Of Thermodynamics Physics Class 11 - Physics Formula
Thermodynamics Equation Sheet
Chemistry Formula For Class 11 Chapter Thermodynamics
SOLUTION: Introduction to Engineering Thermodynamics (formula sheet ...
Class 11 Thermodynamics Formulas - Class 11 Thermodynamics – Formula ...
All Thermodynamics Formulas Pdf
Thermodynamics cheat sheet - Docsity
Thermo Eq Sheet - Thermodynamics Equation Sheet = heat capacity ...
Thermodynamics Formula Sheet: Cycles, Equations, and Processes
Thermodynamics Class 11 Physics all Formulas One Shot | NCERT chapter ...
Thermodynamics Formula Sheet: Key Equations and Concepts - Studocu
Thermodynamics Equation Sheet for ME 211 & ME 312
SOLUTION: Thermodynamics formula sheet-1 - Studypool
CBSE Class 11 Physics Chapter 12 - Thermodynamics Formulas - Free PDF
All Thermodynamics Formulas Pdf - KaydenkruwBradshaw
Thermodynamics Formula Sheet: Conversions, Energy, Cycles
Thermodynamics Formulae
Basic Thermodynamic Formulas Exam Equation Sheet - Docsity
Thermodynamics in Chemistry
Thermodynamics - Important Formulas l [VIMP - GATE/ESE] - YouTube
Second Law Of Thermodynamics Equation
CBSE Class 11 PhysicsThermodynamics: Formula List, Definitions, and ...
LAW OF THERMODYNAMICS ~ Engineering Stream
Understanding Thermodynamics in Physics
maxwell equation || Lect.-01 || Thermodynamics || Bsc physics || IIT ...
Thermodynamics Formula- Definition, Equations
Define thermodynamics & laws of thermodynamics
thermodymics 2 worksheet with answers
thermodynamic processes for an ideal gas in 2021 engineering classes ...
FORMULA-SHEET-THERMODYNAMICS.pdf
Heat Transfer Equations Examples - Free Worksheets Printable
Based on this image's title: “Thermodynamics formula sheet | PDF”