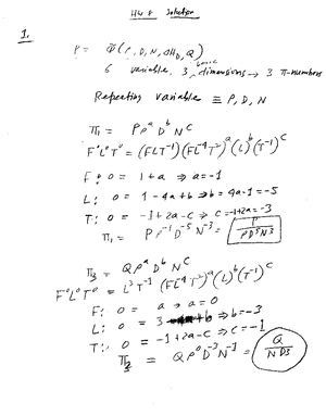
EE4802 IE4213 Tutorial 1 Solutions: MLP and Back Propagation - Studocu
Unit II: MLP and Back Propagation Techniques in Neural Networks - Studocu
EE4802 IE4213 Lecture 1 MLP NN - EE4802/IE4213 Learning from Data CK ...
Unit 2 ML - MLP, RBF Networks, and Back Propagation Notes - Studocu
CEM01B01 Tutorial 1 Solutions: Thermodynamics Unit 2 Memo 2024 - Studocu
Assignment 1 - Perceptron Model and MLP Architecture Explained - Studocu
Back propagation theory for MLP and Numerical Example - YouTube
CG2271: Operating Systems Tutorial 1 Solutions and Answers - Studocu
Tutorial 1 Solutions - Circuit Analysis and Power Calculations - Studocu
Module 1 WCC: Mobile Radio Propagation and Path Loss Mechanisms - Studocu
Optics 1 Lecture 1: Maxwell Equations and Wave Propagation - Studocu
7.1.7 Back Propagation in Multilayer Neural Networks - Studocu
Physics NYC Problem Set 3 Solutions: Sound & Wave Propagation - Studocu
MLP training algorithm using back propagation of error - YouTube
Back propagation algorithm - B.tech - Studocu
MLP GA Solutions Analysis and Code Implementation - Studocu
Implementation of Logic Gates using Perceptron & Back Propagation - Studocu
CS2040DE Semester 1 Tutorial 02: Analysis of Sorting Algorithms - Studocu
MLP - Propagation Avant - GOL720 - ÉTS - Studocu
EE3015 Tutorial 7 Solutions: ZBus Matrix & Shunt Compensation - Studocu
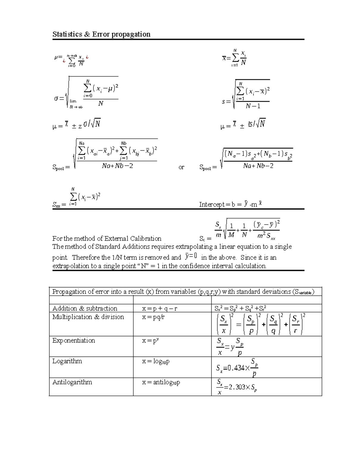
Physics 215 Lab: Experiment 1 Data Analysis & Error Propagation - Studocu
CHAPTER 1: WAVE PROPAGATION IN THE TROPOSPHERE AND IONOSPHERE - Studocu
Back Propagation - output from feed forward TO minimize erwy and actual ...
Backppart 2 - back propagation - Computer Science - Studocu
Tutorial 1 Solution - 87 351 - Studocu
Tutorial 1 Solutions - sdsdwsd - 23422 - Studocu
HELE VI - 3rd Quarterly Exam on Planting Methods and Propagation - Studocu
Post mid 2 - Antenna Engineering and Wave Propagation - Studocu
1. Regression Tutorial.pdf - EE4802/IE4213 Regression Tutorial 1 ...
Back Propagation in Neural Networks: Concepts and Applications (ANN ...
EE4802 IE4213 Lecture 23 DL RNN LSTM - EE4802/IE4213 Learning from Data ...
ML-Unit2-Back propagation problem - Explain the back propagation with ...
Back Propagation Overview - ⏮ Back Propagation Goal Find out how each ...
Solution Tutorial Set 1 Introduction - Tutorial Set 1 Solution Problem ...
Solutions Manual for AI: Constraint Propagation in 101 I - Studocu
EE4802 IE4213 L5 RL - Chapter 5 reinforcement learning - EE4802/IE4213 ...
Tutorial - Propagation of errors - This is done using propagation of ...
Ondes Mécaniques Progressives : Exercices 3.1 sur la Propagation - Studocu
Back Propagation in Multilayer Perceptrons: Key Concepts and Techniques ...
Misai kuching - asdasd - Plant Propagation - Studocu
Tutorial 1 Solution - Nothing Much - TUTORIAL 1 SOLUTION QUESTION 1 a ...
Deep Neural Networks Assignment 1: Comparing Linear Models & MLP - Studocu
PHYS 1120 Final Exam Error Propagation Solutions - Studocu
Error propagation - work - CHE 132 - Studocu
MLP Viva Cheat Sheet: Key Topics for Data Analysis & ML - Studocu
AWR notes - Completed note - Antenna &WAVE PROPAGATION - Studocu
A11 Practica III - MLP Classifier & Kernel Ridge Datasets - Studocu
Tutorial 1 Solutions - good enough for getting a range - Tutorial 1 ...
Tutorial 1 Solutions Term3 MAM1005H - Tutorial 1 Solutions MAM1005H ...
Mlp in chemistry class 12th - UNIT- 1 Solid State UNIT- 2: SOLUTION ...
Gen Physics 2 Q4 Mod 2: Electromagnetic Waves & Light Propagation - Studocu
Pony Hopkins Case Study: Final Conclusions and Insights - Studocu
1130 Formula Sheet F 2025: Statistics & Error Propagation - Studocu
Antennas and Propagation - Antennas and Propagation Fundamentals: Two ...
Equ-4 - Equ-4 - Antenna Wave Propagation - Studocu
Chapter 4 - 10 edition book solutions - AF102 - Studocu
Exception propagation - Introduction We usually try to write programs ...
ML-lab-4 - Lab program -4 - Build and Artificial Neural Network by ...
Tut1 IntroPython LR.pdf - Tutorial 1: Introduction to Python & Linear ...
ML Lab Manual: Implementation of Candidate, Decision Tree, and Back ...
10. Error Propagation - Practice materials - ####### Introduction This ...
Solution Problem Set 1 Introduction - Problem Set 1 Solution Problem 1 ...
Remedial Tutorial 1 Solution | PDF | Computing | Software Engineering
EE2022 Induction Motors Tutorial: Key Concepts & Calculations - Studocu
Isolated Word Recognition System Using Back Propagation Network for ...
Error Propagation Practice Problems-1 - Error Propagation Practice ...
A174257 Exercise 1 - adaddsdsds - Dsdm - ABDUL HAKIM BIN HUSSIN A ...
EE2004 Tutorial 2 Solutions on Low Voltage Logic and CMOS Circuits ...
BT305C Plant Tissue Culture: Chapter 1 Overview of Propagation ...
MLPNeuralNetworkk/Redes Neurais - MLP - Back-Propagation-Copy1.ipynb at ...
Cours-de-propagation - - Studocu
Solutionsodd - solution for microprocessor - Solutions ####### 1 ...
PPT - Learning Algorithm of MLP PowerPoint Presentation, free download ...
Radio Wave Propagation - Radio Wave Propagation Transverse ...
Module-2: Deep Learning Concepts - Multilayer Perceptrons (MLP) - Studocu
Quiz 3 Solutions - quiz solution - 1 Quiz 3 Solutions QUESTION 1 The ...
L6 Electrical Propagation - L6: Electrical Propagation Active ...
Activity 3 CRSC 2-Seed Propagation - Name
CS NUMERICAL SOLUTIONS TO CE PROBLEMS: Error Propagation and Root ...
MLP Lecture 3/6: Deep Neural Networks (1) - Hidden layers; Back-propagation
Free Space Propagation Model - 11/28/22, 2:34 PM Free Space Propagation ...
137-143 Characterization of Propagation - INTL JOURNAL OF ELECTRONICS ...
Unit 4 ACOUSTICS - Sound Production, Propagation & Building Design ...
Summary of Physical Chemistry I: Thermodynamics - Error Propagation ...
AWP Quantum (3-5) - IMPORTANT QUESTIONS AND ANSWERS OF ANTENNA AND WAVE ...
AIM: Calculating NA, Acceptance Angle, and Propagation Constant for ...
TUTORIAL 1 SOLUTIONS | PDF
EE2002 tut2 - EE TUTORIAL 2 (with answers at the back) b) Repeat part ...
Młoda Polska: Kluczowe Idee i Filozofie (MLP 1) - Studocu
The MLP back-propagation. | Download Scientific Diagram
15 Backpropagation in MLPs - YouTube
Neural Network Fundamentals: Understanding MLP & Backpropagation (ML-02 ...
Solved 4. (18 points: backward propagation of MLP) given the | Chegg.com
Multilayer Perceptron (MLP) Overview and Backpropagation Techniques ...
Rede Neural MLP Back-propagation Feedforward, de 3 Camadas | Download ...
Solved (12 points: backward propagation of MLP) given the | Chegg.com
Unit2 ml - Hhtgh - UNIT-II Multi-Layer Perceptron: Going Forwards ...
GitHub - halabanim/solved-mlp-assignment-1-mlps-and-backpropagation
A3. Clustering Review.pdf - CLUSTERING EE4802/IE4213 - LEARNING FROM ...
Propagation of Error Worksheet: Redesigning an Experiment for Precision ...
Rectangular Waveguide - (ii) To determine the cutoff frequency of the ...
Structure of multilayer feedforward MLP backpropagation Algorithm ...
Backpropagation - ... - Backpropagation- Back-propagation is the ...
ANP 11. Nervous Tissue & Nervous System: Ions, Potentials & Propagation ...
ME2121-3.1 Examples - nil - Lecture 3 External Forced Convection ...
Benha University Antennas Propagation 4th Year Communication Solutions ...
The Representation Power of Perceptron Networks (MLP) - Representation ...
Optimizing Machine Learning Models with Esol Dataset: GNN & MLP ...
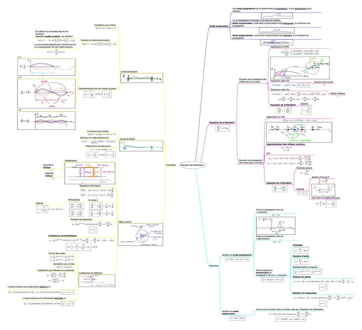
Phenomenes de propagation non dispersifs equation de d alembert carte ...
PC2020 Electromagnetics Lecture 6: Plane Wave Propagation in Lossless ...
BN3301-Assignment (2)-2022-Solutions ...
Unit-2 MLP: Multi-layer Perceptron Overview & Back-Propagation ...
Learning from Data: Introduction to Statistical Learning | Course Hero
What is a Multilayer Perceptron (MLP) or a Feedforward Neural Network ...