Day 5 : Python Program to Check Whether a Number is Positive or ...
Lecture 25 The Accounting Cycle - Overview The accounting cycle is a ...
Lecture 25 - This discusses therapy in Bob Malera's class - Lecture 25 ...
Lecture 25 summary of powerpoint astronomy - The Fermi Paradox In the ...
HUM102 Handouts Lecture 25 - Lecture 25 Résumé/CV Writing According to ...
ENVIRST 113 Lecture 25 - Lecture 25: - Today: options for to expand ...
Lecture 25 Notes - ARTH 154 Introduction to Art History Lecture 25 ...
Costly Signaling in Game Theory: Lecture 25 Overview | Course Hero
04189101 Lecture 25 - Introduction to Relationships - 04:189:101 ...
AQA A Level Chemistry Lecture 25 - Isomers | Teaching Resources
Lecture 25 (Islamism) - Islamism Lecture 25 Religion is politics ...
Explanning The For-Each Loop in Java | Lecture 25 - YouTube
MCM301 Short Lecture 25_Highlighted Questions__FinalTerm_Full Detail In ...
Lecture 25 - Professor Sauter - Le c t u re 2 5 Hacker into ...
PPT - CSE 143 Lecture 25 PowerPoint Presentation, free download - ID ...
SOLUTION: Lecture Introduction to activity diagram/Activity diagram ...
Lecture 25 - Notes based on “CALCULUS (EARLY TRANSCENDENTALS)” - J ...
COS132 L25 - Lecture notes L25 - COS Imperative Programming Lecture 25 ...
Algebraic Geometry Lecture 25 - 18 Algebraic Geometry I Lecture Lecture ...
Com275 lecture 25 - Lecture 25 - effects of internet and mobile ...
EN 4220 Lecture 25 - Summer 2022 Professor James Papoutsis - EN 4220 ...
Cell Bio Lecture 25 - Class taught by Jennifer Mierisch - Lecture 25 ...
SOLUTION: Lecture 25 precast post tensioned concrete construction 1 ...
Lecture 25 - Language of Law - Lecture 25 – Language of Law Lecture by ...
Lecture 25 - Repro disorders - Lecture 25: Disorders of Reproductive ...
ASTR 102 lecture 25 - ASTR 102 : lecture 25 Galaxy cluster shapes ...
Lecture 25 Accounting Concepts and conventions ... | Study notes ...
Lecture 25 Endocrine I – Homeostatic control systems and hormone ...
Lecture 25 filledin - Notes - University of Calgary Physics 259 Lecture ...
Lecture 25 Exam Review - Alan Murchie - Exam Review Lecture: 12/ Final ...
(PPT) Lecture 25: Introduction to Molecular Orbital Theory The material ...
Math ECAT 1st year | Lecture 25 | Inverse Trigonometric Functions ...
ARM - After MID Lectures - LECTURE 25 th NOVEMBER & 2nd Dec ...
Lecture 25 : Ratio and Proportion Part 05 | SBI | IBPS | RRB | CLERK ...
Lecture 25 - Basel Norms 1 , 2 and 3 , CAR/CRAR | Ramesh Singh Book | # ...
Substantive Criminal Law- Lecture 25 - Stat. § 939(3)-(4): Privilege ...
Lecture 25 Notes: Introduction to Ecosystems and Energy Flow - Studocu
CS201 Short Lecture 25 | VU Short Lectures | CS201 Short Lectures | M ...
PSY510 Lecture 25 Organisational Psychology Short Lecture VU Lectures ...
Lecture 25 - NPV and Inflation, International Fisher, Annuity ...
Lecture 25 final - Dr. Roper - Lecture 25 Chapter 21 Microbial Ecology ...
Lecture notes, lectures 21 - 25 - Principles of Autonomy and Decision ...
Understanding Reproductive Physiology in Lecture #25 | Course Hero
Lecture 25 Climate Change Notes - EES:1400 – Natural Disasters Lecture ...
Calculus | Lecture 25 | Applications of De Moivre's Theorem | Roots of ...
UNDERSTANDING THE BINOMIAL THEORY BETTER THAN EVER - LECTURE 25 ...
Information Retrieval || Lecture 25 - YouTube
SOLUTION: Vet104 unit 6 chapter 18 the urinary system lecture 25 ...
Foundations of Mathematical Reasoning (MAT-0092) Lecture 25 - Overview ...
LAWS122-Lecture 25 - medical confidence - Lecture 25 Medical confidence ...
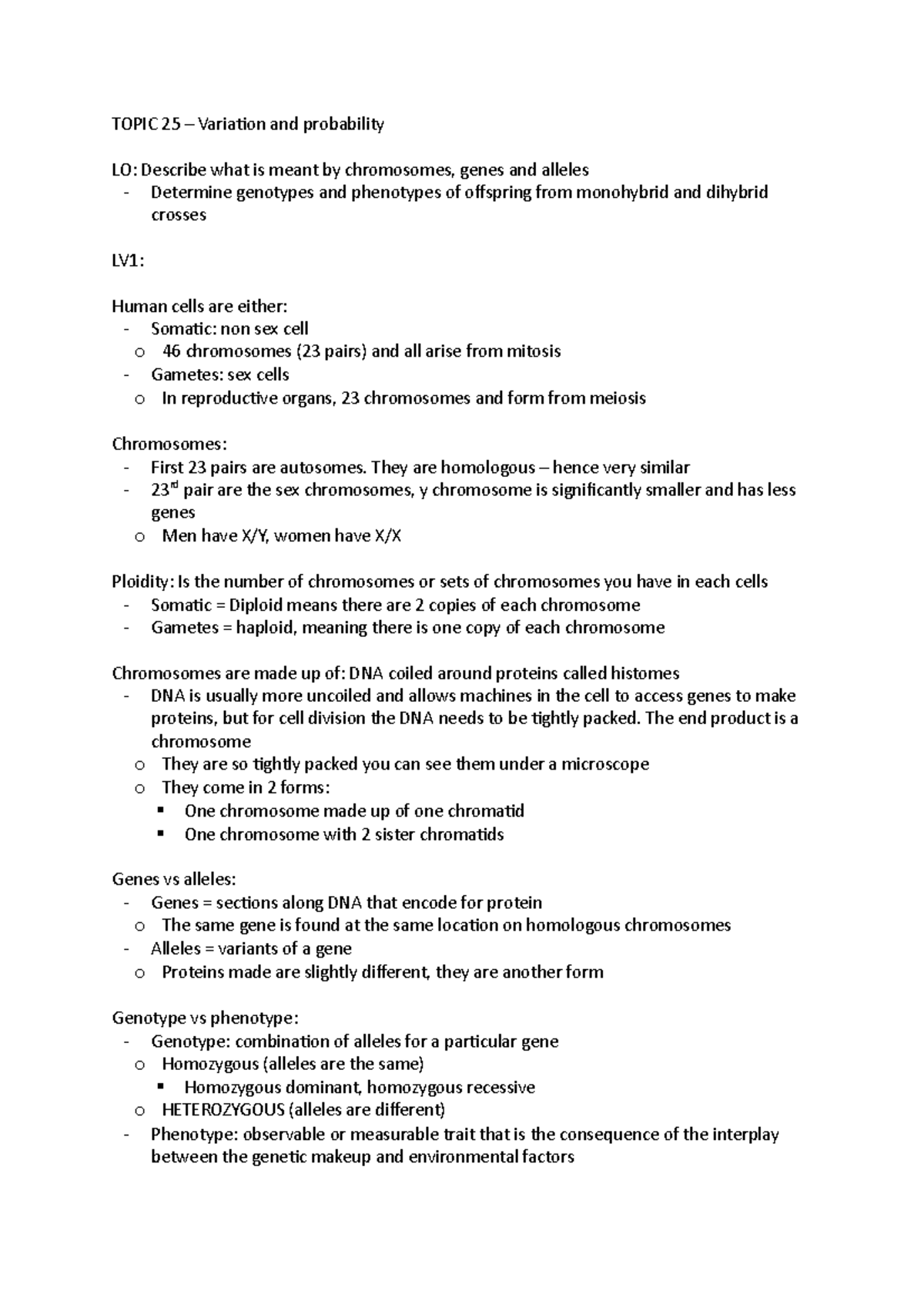
Meds mod 5 (25, 26) - Notes on lecture 25 and 26 - TOPIC 25 – Variation ...
Chemistry 130 Notes [7.4] Lecture 25 - Chemistry 130 Lecture 25 ...
Lecture 25 - Presentation | PDF
Lecture 25 | PDF
Lecture 25 | PPT
Lecture 25 P | PDF
Lecture-25-Handout - lecture notes and exercises also revision material ...
Lecture 25 D | PDF
Lecture 25 Notes MAC 2313 - MAC 2313 - Studocu
Lecture 25 Outline - Dr. Yoder - BSC 300 - Studocu
Sec 207 Lecture 25 - MATH 152 - Studocu
Lecture 25 - Modern India OSS | PDF
correction gammes de lecture 25 | 9740276G Ecole jean Hoarau
Intro to Microeconomics, lecture-25 notes - 1 Intro to Microeconomics ...
Stat 301– Lecture 25 Forward Selection
Physics 122 B Electricity and Magnetism Lecture 25
NLDC-I Lecture 25 - YouTube
PHYSICS 220 Lecture 25 Heat Transfer Lecture 25
(PDF) Lecture 25: Civilizations of the Western Hemispherepages.uoregon ...
Lecture 25 - YouTube
ANAT1018/1020: Lecture 23 - Overview of the Cardiovascular System (CVS ...
Lecture-25 : Conditional Statement ( If ) | Core Java | Full Course ...
Vande Vidya Shankaram - "Lectures on Panchadasi" LECTURE #25 by Smt ...
SOLUTION: Lecture 25 lrc series circuit and transformers - Studypool
The Holy Sacrifice of the Mass - Lecture 25 - YouTube
Lecture 25: Introduction To JS - YouTube
Lecture 25 | AI Free Basic Course - YouTube
Lecture 25 - Booking Control and Nesting - YouTube
SIGN TEST | LECTURE 25 | BSC NURSING 7TH SEMESTER | STATISTICS - YouTube
Organometallic Compound Lecture 25 - YouTube
CMTS : Lecture - 25 - YouTube
BIOL 200 Lecture 25: Elongation of the Growing Polypeptide Chain ...
Lecture 25 Flashcards | Quizlet
Lecture #25 CubeSat On-board Software and Simulation Environment ...
phy101 lecture 25 #@ learning with sharjee# - YouTube
Lecture 25 Deuteron Problem Nuclear Physics - YouTube
LECTURE 25 - EYELIDS Flashcards | Quizlet
PAK301 SHORT LECTURE 25||(Final Terms) PAKSTUDIES301 LECTURE 25 - YouTube
Discrete Math Lecture 25 - Notability Gallery
Lecture 25-26 - Global and Local Scopes | PDF | Scope (Computer Science ...
math 321. lecture 25 - YouTube
SOLUTION: Lecture 25 anatomy of the spinal nerves - Studypool
CS403 DBMS Lecture 25 VU short lecture SQL commands - YouTube
SOLUTION: Lecture 25 anatomy of the cardiovascular system - Studypool
Cyclic Topics in MTL744 Lectures | PDF
CS302 Short Lecture 25 | CS302 Short Lectures | KST Learning - YouTube
Lecture 25- vesicular transport and cytoskeleton-10-30-2023 - Welcome ...
(PDF) Lecture 25. Blackbody Radiation (Ch. 7)gersh/351/Lecture 26.pdf ...
SOLUTION: SBU CHE 131 - Lecture #25 - Electron Configurations - Studypool
Compréhension de lecture #25 - Détective (ui et h)
Fiche Lecture 25.05 | PDF
Lecture 25&26 - Temporal Logic - 2024 (Updated Examples) | PDF
Lecture 25: Generative Pre-trained Transformer (GPT) -- Part 2 - YouTube
Lecture 25: Unsupervised Learning - YouTube
12th Class KPK Board English Live Lecture 25, Paragraph Writing - YouTube
SCIENCE AND TECHNOLOGY||LECTURE 25||NUCLEAR TECHNOLOGY ||FULL COURSE ...
ECO401 Short Lecture 25[With Slides] - YouTube
Stability Analysis of Control Systems (EIE 2025 Lecture 25-30) - Studocu
Vienna Gödel Lecture 2025: Hartmut Neven (Google) - Informatik Austria
Lecture-sir asad|| lecture 25|| first year|| - YouTube
Lecture 25: String Theory and the Multiverse - YouTube
Lecture-25-Management-Administration | PDF
lecture_25-26__modeling_digital_control_systems.pptx
Based on this image's title: “Lecture 25 || How to Check if a Number is in a List in Python ...”