Parcial-24-25-Algebra-2.pdf
Examen Parcial Álgebra II UBA 2016 | PDF | Matemáticas Aplicadas ...
Álgebra 2° Parcial RESUELTO | PDF
Solucionario Parcial de Algebra Lineal Ii | PDF | Valores propios y ...
PARCIAL II Álgebra Lineal | PDF
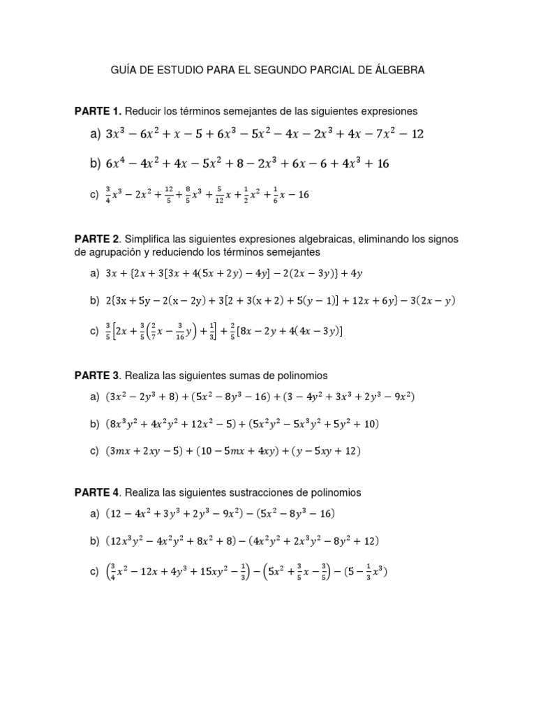
Guía de Estudio para El Segundo Parcial de Álgebra | PDF | Álgebra ...
Parcial 2 | PDF | Álgebra | Enseñanza de matemática
RECO Parcial 2 Algebra 2 RECO Parcial 2 Algebra 2 | PDF | Matriz ...
Parcial 2 Algebra y Matrices | PDF
2do Parcial Álgebra | PDF
Elementos de Algebra y de Geometría Primer Parcial | PDF
2examen de Segundo Parcial de Algebra | PDF
5 GE - 2do. Parcial - Álgebra Intermedia II PDF | PDF
Solucionario de Ex - Parcial Algebra Lineal | PDF | Determinante ...
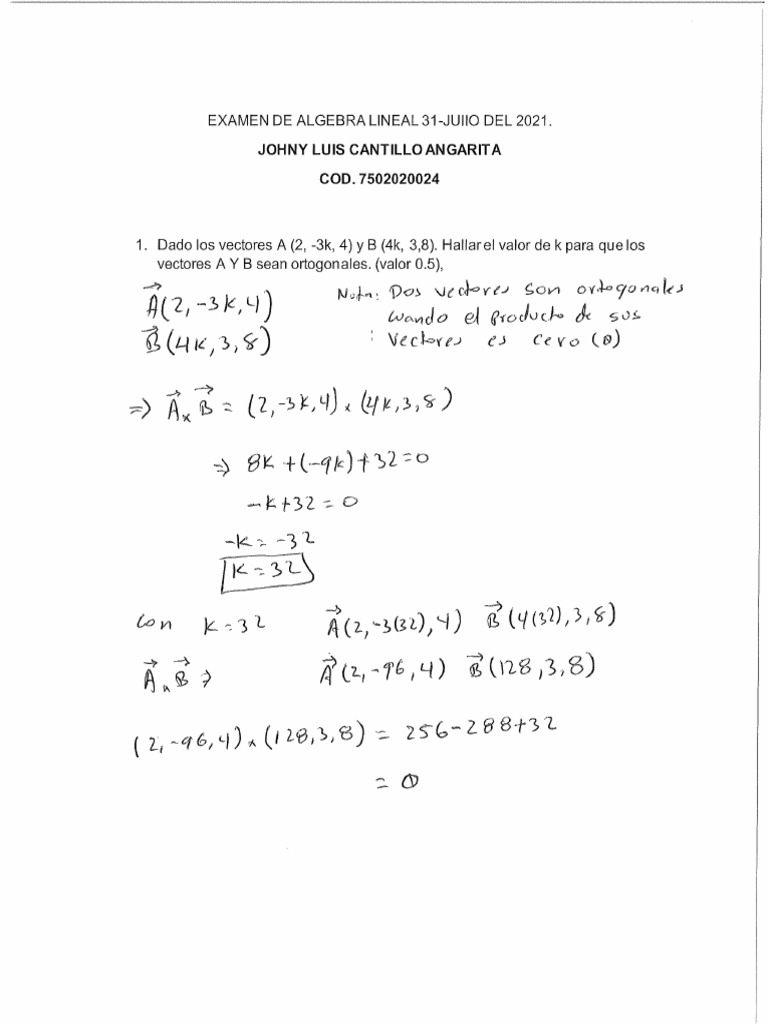
Solucionario Del Examen Parcial de Algebra Lineal Junio 2021 | PDF ...
Cuadernillo Álgebra 2 Parcial | PDF | Factorización | Multiplicación
PARCIAL ÁLGEBRA - Merged | PDF | Matriz (Matemáticas) | Entero
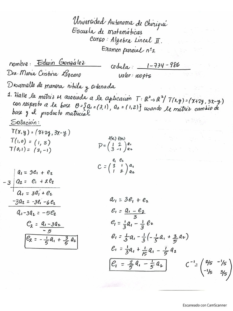
Segundo Parcial Álgebra Lineal | PDF | Matriz (Matemáticas ...
Parcial 1-Algebra Lineal II (PS2023) | PDF | Matriz (Matemáticas ...
Evaluación Segundo Parcial Álgebra | PDF | Ecuaciones | Conceptos ...
Solucionario Álgebra 2 - 1º Parcial | PDF | Teoría de la matriz ...
Modelos de Parcial de Álgebra 2024 | PDF | Base (álgebra lineal ...
Segundo Parcial Álgebra Lineal Ud 2024 | PDF
Ejercicios de Álgebra Lineal II | PDF
parciales viejos de algebra para el parcial segundo | PDF | Base ...
Parcial 2 (Aritmetica y Algebra) | PDF | Números | Enseñanza de matemática
Parcial 2 | PDF | Álgebra | Cálculo
APUNTES-ALGEBRA-SEGUNDO-PARCIAL.pdf
Parcial II 2023-24. Algebra Lineal y M. Discreta (con soluciones).pdf
Modelo de parcial Algebra UBA XXI 2 | PDF | Vector Euclidiano | Ecuaciones
Parcial 1 de Algebra 2 Fiuba | PDF | Valores propios y vectores propios ...
Segundo Parcial | PDF | Geometría | Álgebra lineal
Segundo Parcial - Algebra Lineal | PDF
Algebra 2 | PDF
Modelo 2 Do Parcial Algebra II | PDF
Examen-Algebra-II-Resuelto.pdf
Solucionario Primer Parcial Algebra II | PDF
Parcial 2 Algebra. Ejercicios | PDF | Matemáticas | Matemáticas Aplicadas
TERCER-PARCIAL-DE-ALGEBRA-LINEAL-II.pdf
Parcial Algebra | PDF | Mapa lineal | Álgebra lineal
Parcial Algebra | PDF
Segon-examen-parcial-Algebra-2023-2024.pdf
Serie de Ejercicio de Algebra para El Segundo Parcial 2020 | PDF
Examen Primer Parcial Algebra | PDF
Parcial #2 Algebra Lineal II | PDF
Algebra - 2 | PDF
Algebra II.pdf
ALGEBRA 2 (Final y Parcial 1 y 2) | PDF
PARCIAL Algebra | PDF | Geometria plana) | Matriz (Matemáticas)
Segundo Examen Parcial Álgebra Lineal | PDF
Parcial-2-2021-Algebra.pdf
parcial2algebra-y-geometria.pdf
Modelo 2°parcial Álgebra 2024 | PDF
algebra -2 | PDF
Parcial Algebra | PDF | Objetos matemáticos | Enseñanza de matemática
Parciales 1 y 2 Álgebra 2022 resueltos.pdf
Parcial 1 Algebra | PDF
Segundo-parcial-algebra-2022-resuelto.pdf
PRACTICA DE ALGEBRA II 2do. Parcial 1-2024 | PDF | Espacio vectorial ...
Modelo de Parcial Algebra UBA XXI 6 | Descargar gratis PDF | Vector ...
Manual de Algebra 2 | PDF | Factorización | Matemática Elemental
Resolución 2do Parcial Algebra Lineal | Descargar gratis PDF ...
Modelo de Parcial Algebra UBA XXI 3 | Descargar gratis PDF | Geometria ...
Parcial 2-4 2011 | PDF | Álgebra | Enseñanza de matemática
Algebra 2 Textbook Holt
2do Examen Parcial ALGEBRA | PDF | Matemáticas discretas | Teoría de ...
Parcial-Calculo-resuelto-3-diciembre-2024.pdf
Álgebra II A Parciales 2008 | PDF
Examen 2do Parcial de Algebra II - Docsity
Parcial-2-Algebra-Lineal.pdf
Parcial 2 algebra | PDF
Cuadernillo de Algebra Segundo Parcial | PDF | Multiplicación | Polinomio
Tema2-Diapositivas.pdf
Álgebra II A Parciales 2012 | PDF | Conceptos matemáticos | Funciones y ...
Álgebra II A Parciales 2011 | PDF | Espacio vectorial | Álgebra abstracta
Segundo Parcial Álgebra Lineal | PDF | Métodos y materiales de enseñanza
Parcial-Algebra-RESUELTO-2023.pdf
Segundo-parcial-algebra-2025-resuelto.pdf
24 Algebra 2 | PDF | Función (Matemáticas) | Análisis matemático
Seminario 3 er parcial algebra | PDF
Examen Primer Parcial Álgebra | PDF
Ejercicios Segundo Parcial Álgebra | PDF | Matriz (Matemáticas) | Camión
Algebra - II Parcial - 1-5 Correlativos | PDF | Factorización ...
Deber #2 Parcial 2 Algebra | PDF
Algebra Lineal 2do Parcial | PDF
ÁLgebra II Primer Parcial Resuelto - Algebra II - UMSS - Studocu
Parcial 2 - Algebra 2024 | PDF
Parciales de Álgebra II, Desde Los Años 2020 Al 2023 | PDF
apuntes-asignatura-completa.pdf
Parcial 2 | PDF
Algebra II | PDF
Ejercicios de Factorización en Álgebra | PDF | Factorización | Números
Álgebra II A Parciales 2009 | PDF | Base (álgebra lineal) | Espacio ...
Algebra Parcial 2 Distancia | PDF
Álgebra II | PDF
Algebra 2 Chapter 12 Worksheets 12.2 HW Answers.pdf NAME DATE PERIOD
Parcial 2 Álgebra Lineal.pdf - | Course Hero
2do Parcial | PDF
SOLUTION: Modelos de segundo parcial resueltos algebra y geometria ...
PRIMER PARCIAL - 2C - 2024 - Tema2 - ORIGINAL - Con Respuesta ...
Àlgebra II | PDF
2 Algebra - II | PDF
Based on this image's title: “Parcial-24-25-Algebra-2.pdf”