JavaScript Counter | Create Html, CSS, & JavaScript Counter - YouTube
How To Create a JavaScript Counter | JavaScript Counter - YouTube
Lecturer 2 | MS Excel Home Tab | - YouTube
Coordinate Geometry | Class 10 | Lecturer 2 - YouTube
30 days of JavaScript - Counter - YouTube
US history lecturer 2 by Bilal Pasha @JWTCSSVideos - YouTube
Chemical thermodynamics lecturer 2 - YouTube
JavaScript Counter with Start and Stop Button / Lecture 20 - YouTube
JavaScript COUNTER PROGRAM 🔢 - YouTube
My Lecturer My Husband Season 2 - Official Trailer | 27 Mei 2022 di ...
Animated Counter With JavaScript (HTML, CSS) - YouTube
I Built a Counter in JavaScript and You Can Too! - YouTube
Javascript Counter - YouTube
JAVASCRIPT COUNTER PROGRAM [ UNDER 5MINS ] - YouTube
Lecturer # 2 | PDF
Lecturer 2 | PDF
lecturer -2 light chapter of class 10th - YouTube
Mastering 2D Array Operations in C: Summing and Formatting | lecturer 2 ...
2. Lecturer 2 - Switching Devices - Layer 2 and Layer 3 Switches.pdf
Lecturer 2 Terminology and basic concepts 2023 - Department of Economic ...
Lecturer 2 - yes - Autonomy - a person's ability to act on his or her ...
Speak English with Confidence - Asad Yaqub | Spoken English - YouTube
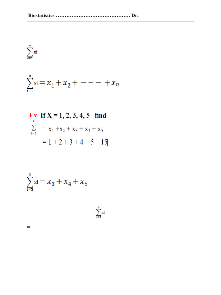
Biostatistics . Dr. Raeed Mejbel Abdullah Lecturer - 2 - Statistical ...
Guest Lecture 2 - Guest Lecturer 2: Denver Metro Community Impact ...
Judicial Interpretation 1 - JUDICIAL INTERPRETATION NOTES LECTURER 2 ...
عضويه lecturer 2_مرحله اولى صيدله _جامعه التراث_part4 - YouTube
Incrementing counter Using HTML CSS and JavaScript | JavaScript Counter ...
Simple Click Counter using JavaScript | JavaScript Counter with Source ...
Suresh Lecturer APK for Android - Download
Convergent and divergent thinking | अभिसारी ऑर अपसारी चिंतन । lecturer ...
GIT lecturer (2).pdf - dirzon
UEW lecturer, 2 students die in accident - Prime News Ghana
Erster Senior Lecturer im Institut Mess- und Sensortechnik gestartet | HRW
Silhouette of tutor and lecturer Stock Vector Image & Art - Alamy
Visiting Lecturer Seri 2 – Penggunaan Instrumentasi pada Liquified ...
Javascript Counter Example at Frank Thill blog
Margherita - You are a star in the making! | Alicja Zielinska-Eisen
Emiele Spillman - Lecturer of Law - Spillman Conveyancing and Notarial ...
How to Create Increment and Decrement Counter JavaScript
How To Create A Simple Counter Using Javascript at Donald Hammond blog
Restauro Architettonico 🏺 | Pinup 2 | Nikolla Vesho
Counter In Codepen at Robert Doss blog
Mathematics Lecturer 2, Hobbies & Toys, Books & Magazines, Assessment ...
Cell Wall of bacteria a brief description | PPT
UPCPI Youth Ministries added a... - UPCPI Youth Ministries
Std 11 Maths Chapter 1 ગણ || રિક્ત ગણ, સાન્ત અને અનંત ગણો || Lecturer ...
General Science |RRB ALP/TECHNICIAN | Unit and Measurements | Basic ...
Lecturer 2: Spatial Concepts and Data Models Introduction ppt download
List_of_eligible_candidates_for_Lecturer_2 | PDF
EMOTIONAL STORY OF HOW I FELL IN LOVE WITH MY LECTURER 2(OMOTOLA JALADE ...
Academic Staff - ISDEV
Bongo: lecturer, 2 pastors among 9 remanded over witchcraft accusation ...
University Lecturer – Kết quả thẩm định tay nghề (Skills Assessment ...
CHAPS - Yeah! Kilala niyo ba si Sir JM Tullao? aka Malupiton ng Outer ...
Number Counter Effect Js at Timothy Green blog
Js Counter Function at Lauren Hilson blog
Faculty | UP DGE
40 proyectos de JavaScript para principiantes: Ideas fáciles para ...
#behavioralscience #resilientleadershio #brainhealth | Kirsten Vedder ...
🚙Back on the road! | Álvaro Dexeus
Insightful day at Dublin Tech Summit. | Rohit Ahuja
Speech podium speaker single Cut Out Stock Images & Pictures - Alamy
♻️ ethics4growth | Klevisa Kapo
Lecturer and multinational group of students in an auditorium Stock ...
#rse | Marine SIMON
#leansixsigma #lean #findleansolutions | Patrick Adams
#pantosaurus #pickatale #nspcc | Emily Guille-Marrett
Congratulations on being admitted as an attorney! | Freddy Shadrack
Women empowerment through Dance 💃 | Dr Ayomi I. Irugalbandara
Hallo! | PT Kalbe Farma, Tbk
If you are interest to attend a conversation about | Filipa Peleja, PhD/MBA
[Tokyo] Tokyo National Museum | Hall of Fame | Main Building & Asian ...
#sdgteachin #sustainability #business #event #school #students | Romany Rae
Yesterday I finally got my copy of this beauty. | Yan (Yanko) Kotliarsky
Hedda är Sveriges största UF-skola | Marcus Persson
#parametric #architecture #design #grasshopper | Mai Soliman , Dr
SPIL Annual Conference 2023 | Ang Harry T.
Suppositories Assistant Lecturer. 2.pptx
📣WE ARE HIRING!📣 CamEd Business School currently looking for potential ...
วิทยาลัยการศึกษาตลอดชีวิต มหาวิทยาลัยเชียงใหม่
2025 University Admissions In Nigeria: Latest Updates And Deadlines ...
UP Diliman Faculty Manual
Speakers – MME SEE
Sahraa Karimi (Ph.D) en LinkedIn: #mykabuliwala
Fun Apprenticeship Application Letter Sample Entry Level Registered ...
Responsive Navbar with Multi-Level Dropdown Menu using Tailwind CSS
Les Karpluk en LinkedIn: #leaders #learning #growthmindset
Idag hade jag den stora förmånen att föreläsa internt för nya kollegor ...
Create a Chess Game in Python Step-by-Step (Source Code)
Kim Anh Nguyen ha hecho una publicación en LinkedIn
Damith Hettihewa en LinkedIn: It was an honor to meet His Excellency ...
Georg Herzog en LinkedIn: Infographic: 50 Cognitive Biases in the ...
We continue to pre-publish articles for the forthcoming June issue (vol ...
Dr Sarah Burke auf LinkedIn: #talogy #teamspirit #psychology
LinkedIn Kohei Yamamoto 페이지: #maersk #alltheway #friendship #thankyou
Thank you for this acknowledgement and recognition of my work on ...
Thank you for the Buckingham Palace's invitation to join a reception ...
Dr. Rebecca Corbin on LinkedIn: #nacce2022 #wearenacce
Nicolò Bersani su LinkedIn: Nella mia visione personale l'AI è come il ...
Tiago Ribeiro posted on LinkedIn
Queres apreender a resolver diferentes tipos de bloqueios, junta-te a ...
Osama AlQattan posted on LinkedIn
Listen: Lord Mayor of Canterbury, Keji Moses, is hoping to recruit 100 ...
Hassan A. posted on LinkedIn
Mamy Reprezentanta Polski 🇵🇱 Historyczny moment dla WKS Śląsk Wrocław ...
First time seeing a school with my own name. The Daniel school is set ...
Stefan Köhler en LinkedIn: #spiel #lernen #vortrag #deutschdidaktik # ...
Everything’s done under one roof in SameDay dental implants clinic ...
Lachlan Pendragon will attend the 95th Academy Awards nominated for his ...
Thriving Ecosystems: How the TSIRO Alliance in Madagascar redefines ...
🔥🔥🔥Excited to be presenting this workshop in person at the 35th annual ...
#ai #midjourney #aimidjourney #aiarchitecture #interiordesign #design # ...
Based on this image's title: “Lecturer 2 | Javascript Counter - YouTube”