The pattern detection problem In this assignment, | Chegg.com
Solved Q1 Your task in this question is to design a pattern | Chegg.com
Solved In this problem, you are asked to design a pattern | Chegg.com
Solved Pattern Printing Problem Description Decode the logic | Chegg.com
Solved Instructions In this assignment, you will implement a | Chegg.com
In this lab, you will learn how to perform the | Chegg.com
Solved please help solving the problem in details showing | Chegg.com
Statistical Pattern Recognition Assignment 1 Problem | Chegg.com
Solved 1) Many pattern recognition problems require the | Chegg.com
Solved 1. Pattern recognition is at the heart of many image | Chegg.com
Statistical Pattern Recognition Problem 4 (20 Points) | Chegg.com
Coding for Python - The pattern detection problem – part 2: def ...
Solved Perceptron Consider the following pattern | Chegg.com
Solved Problem 40Design a Moore pattern detector that | Chegg.com
Solved Problem Statement Pattern searching is an important | Chegg.com
For the first part of this assignment we will | Chegg.com
Lab 3 Pattern Searching Problem Statement Pattern | Chegg.com
Solved ENGG1811 Assignment 1: Pattern detection Due date: | Chegg.com
Solved Problem 2 - Pattern matching with a regular | Chegg.com
Solved One of the problems I have in my current assignment | Chegg.com
Solved Consider the following detection problem: | Chegg.com
Solved Suppose we face a pattern recognition problem, where | Chegg.com
Solved 2. Suppose we face a pattern recognition problem, | Chegg.com
Pattern Detection Algorithm | Download Scientific Diagram
Pattern Recognition and Problem Solving | PDF
Solved Design Patterns, (POSTING PICTURES BELOW) This is | Chegg.com
Solved Hello chegg experts! I need help with this code! This | Chegg.com
Solved Dear Chegg teacher I am posting this question because | Chegg.com
Solved Part II: This part consists of 3 problems. For each | Chegg.com
Machine Learning and Statistical Pattern Recognition. | Chegg.com
2. Suppose we face a pattern recognition problem, | Chegg.com
Pattern Recognition Problem Set 1.pdf | Eigenvalues And Eigenvectors ...
Solved Hello,This is the assignment I am struggling with. I | Chegg.com
Solved NOTE: CHEGG CAN DETERMINE THE DATA BY THE ONE WHO | Chegg.com
2. Each of the test-patternN1, test-patternN2 and | Chegg.com
Pattern detection algorithm sample | Download Scientific Diagram
Solved solve the questions please | Chegg.com
Solved Problem 1 For | Chegg.com
Solved can anyone explains to me how to get the answer of | Chegg.com
Solved Match the following situations with the appropriate | Chegg.com
Solved Pattern recognition is a key building block for many | Chegg.com
Solved Question 2 (18 marks) This question provides an | Chegg.com
Solved PROBLEM #6 | Chegg.com
Solved #Problem 2: Finding the Pattern's occurrences | Chegg.com
Question 1: Students will apply pattern recognition | Chegg.com
Solved 1. Print "This program demonstrates the use of | Chegg.com
Outline of the general procedure followed by pattern detection ...
Solved Introduction This coursework assignment is designed | Chegg.com
Anomaly Detection Techniques Overview | PDF
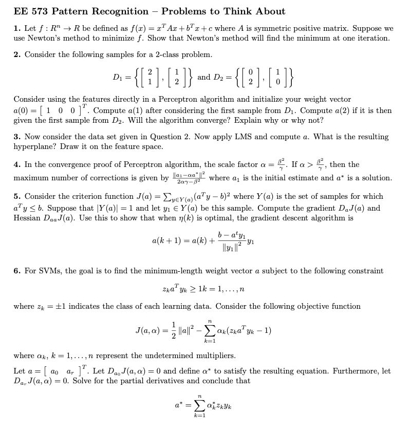
EE 573 Pattern Recognition - Problems to Think | Chegg.com
Solved 1. (100 pts) Design a sequence detector for detecting | Chegg.com
Question #4: (Pattern Matching) Oftentimes we want to | Chegg.com
I want a detailed explantion for each question! and | Chegg.com
answer | Chegg.com
Pattern Recognition | PDF
Solved Question | Chegg.com
Solved PLEASE DO NOT COPY FROM OTHER CHEGG ACCOUNTS. THEY | Chegg.com
Solved AssignmentThis assignment is done with a partner. | Chegg.com
Solved Hi, I was wondering if anyone can figure out what's | Chegg.com
Solved How to solve | Chegg.com
Question | Chegg.com
PPT - Design/Architecture Pattern Detection PowerPoint Presentation ...
please screen shot :( | Chegg.com
Pattern Detective :: Teacher Resources and Classroom Games :: Teach This
Solved Answer parts c and d. Please do not copy a | Chegg.com
∞ | Chegg.com
Solved Help | Chegg.com
1)ํํ | Chegg.com
Solved Part 1 IMPORTANT NOTE - Chegg is not letting me | Chegg.com
Solved .com | Chegg.com
Solved help | Chegg.com
Assignment 3 Pattern Recognistion | PDF | Support Vector Machine ...
Solved Answer: | Chegg.com
Solved Ξ Chegg. Study TEXTBOOK SOLUTIONS EXPERT Q&A | Chegg.com
5 | Chegg.com
DO NOT COPY OTHER CHEGG ANSWERS, IF YOU DO THAT, I | Chegg.com
Solved Answer | Chegg.com
Solved Problems Questions (a) and (b) require you to | Chegg.com
Previous answers that I found on chegg.com were | Chegg.com
Solved Pick | Chegg.com
Solved + C Get Homework Help With Chegg. X C Chegg Study | Chegg.com
Solved see image | Chegg.com
Solved Question 4\\n1pts\\n2: Below is a contingency table | Chegg.com
Solved my code : | Chegg.com
Problem Solving with Patterns e3c809d91f34e3cdd5271b393b60d627 - 16 ...
PPT - Introduction to Pattern Recognition for human ICT Introduction ...
Patterns - Pattern Recognition - Assignment - Docsity
Pattern Recognition Homework 2 Sample Solution 1 Textbook ...
Module 3 Problems - pattern - Pattern Recognition - Module 3 Problems ...
Set - Pattern Recognition - Assignment - Docsity
Problem Solving, Mathematical Investigation and Modeling Week 10 Find A ...
Pattern Recognition: Solving Problems Through Identifying Numeric ...
Pattern Recognition Homework 5 Sample Solution
Coding and Robotics Pattern Recognition Analyse and Debug
Parallel Circuit Solved Problems
Based on this image's title: “The pattern detection problem In this assignment, | Chegg.com”