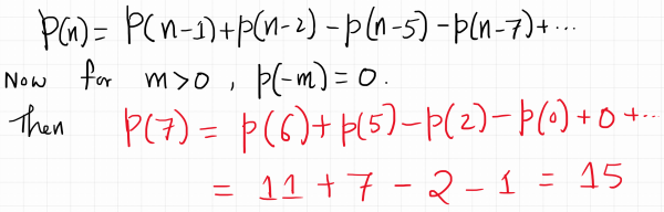
Partition Numbers and a code to generate one in Python - Cheenta Academy
How to Generate Random Numbers in Python - YouTube
How to create a list of prime numbers in python - naxrewired
Generate a list of random numbers without repeats in Python - YouTube
How To Generate Random Numbers In Python Learnpythoncom Python
How to Generate Random Numbers in Python? - Spark By {Examples}
How to Generate Random Numbers in Python | AnalyticsTechTalk.com
How To Generate Random Numbers Between 0 And 1 In Python?
Python Program To Generate Random Numbers Python Revision And
Partition numbers one to five in different ways KS1 | Y1 Maths Lesson ...
How To Generate A List Of Random Numbers In Python?
how to divide a number in python - YouTube
How To Return Code In Python - Dibujos Cute Para Imprimir
How To Divide Two Numbers In Python - Python Guides
Python Random Number Generator: How to Generate Random Numbers in ...
How To Print Numbers 1 100 In Python - Infoupdate.org
How To Generate Random 4-Digit Numbers In Python?
Multiplying and Dividing Numbers in Python | Python Central
List Of Numbers 1 To 100 Python Pandas - Infoupdate.org
How to Print Prime Numbers from 1 to 100 in Python
How to Divide Two Numbers in Python
Converting Alphabet Letters to Numbers Using Python - AskPython
Separating Digits of a Number in Python - GeeksforGeeks | Videos
Write A Program To Check Whether A Number Is Prime Or Not In Python ...
List Of Numbers 1 To 100 Python Codes - Infoupdate.org
Solved generate a python code: there are several parts to | Chegg.com
Python Program to Generate Random Numbers
Best algorithm to calculate Pi - Part1 - Cheenta Academy
How To Create Guess Game in Python - Python Mini Project Tutorials ...
5 ways to swap two numbers in Python ~ Computer Languages (clcoding)
How to use predefined function partition in python ...
List Of Numbers 1 To 100 Python - Free Printable Templates
Python Generate List of Unique Random Numbers Example - ItSolutionstuff.com
List Of Numbers 1 To 100 Python Exleasing - Infoupdate.org
How To Divide Input In Python - Printable Forms Free Online
Prime Number Generator: Generate Prime Numbers List in Python – Learn ...
List Of Numbers 1 To 100 Python - Free Worksheets Printable
How to generate random integer number from 1 to 100 in python. python 3 ...
Python Pattern Programs - Printing Numbers in Right Triangle Shape ...
Logic and programming how to program a simple guess the number game in ...
How to Generate a Random Number with Python
Python Program #82 - Count the Number of Digits Present In a Number in ...
#partition()in string |partition function in python | partition() - YouTube
algorithm - Elegant Python code for Integer Partitioning - Stack Overflow
Dividing Numbers In Python at Karen Medina blog
How To Split A Number Into Digits In Python?
Generating Random Numbers in Python: A Quick Guide | upGrad
The 3n+1 Problem | Learn Collatz Conjecture - Cheenta Academy
partition() in Python | Python String partition() - Scaler Topics
Partition Python Strings | Python Tutorial - YouTube
This Python Partition Method Will Save Your Code! - YouTube
Divide numbers in python
05.1 Partition Numbers to 100 | Classroom Secrets
PARTITION METHOD-STRING METHOD-HOW TO USE PARTITION IN PYTHON-PYTHON ...
Solved python Define a function partition that takes a | Chegg.com
Palindrome Program Using Function In Python - Python Guides
Python Program to Print Prime Numbers
Generate random integer in python
Solved Problem 1: Design a Correct Partition Algorithm You | Chegg.com
Python String partition() method - AskPython
Solved Problem 7 (10 points). Given the code for partition | Chegg.com
The Importance of Learning Python in Today's Tech-Driven World | Blog ...
Partition Dataset Python at Michael Oglesby blog
Random Number Generator in Python | Examples of Random Number
Understanding Classes in Python
partition( ) | python tutorial #shorts #python #pythonprogramming - YouTube
Generator In Python Range at Leroy Olson blog
Prime Number Generator In Python Using Yield at Gloria Bradford blog
Python in Competitive Programming | SpringerLink
Python partition() | String partition() | Built-in functions in Python ...
Number Pattern | Part 1 | Python Pattern Programs - YouTube
Patterns in Python | Learn Different Types of Patterns In Python
Python Programs for Math User 🧵: - المسلسل من Python Coding @clcoding ...
What are partition numbers? - YouTube
Partition.assignment.strategy Python at Tia Thomas blog
Solved Complete the partition( ) function which takes a | Chegg.com
Partition Table Magic Number at Alison Mclemore blog
What Is the partition() Method in Python?
Understand Python Randomrandint Function For Beginners Python Tutorial
Generating QR Codes using Python Libraries | by Marc Bolle | Medium
Linear Algebra with Python | Lesson 1 | Python Live Coding | Srijit ...
Partition Number Year 2 | PDF | Naming Conventions | Vocabulary
Solved 1. Write a function partition() that takes a list of | Chegg.com
6 способов как сложить два числа в Python с примерами кода
Solved PA: Counting This third python programming | Chegg.com
PPT - CS 332: Algorithms PowerPoint Presentation, free download - ID:6760
partition generator
👉 Partitioning 2-Digit Numbers | Twinkl | Maths | KS1
What Is Partitioning Numbers at Arlene Perkins blog
Coding for Python Games: Hướng Dẫn Chi Tiết và Các Thư Viện Phát Triển ...
QA Platform
5511-05
You Won’t Believe It — These 5 Instagram Core Functions Are Handled by ...
Based on this image's title: “Partition Numbers and a code to generate one in Python - Cheenta Academy”