🔥 Day 12 | Python Dictionaries Explained 💻 | (Beginner to Advanced) 🚀 ...
Python Series##Python Tuples — Basics to Advanced | by Avinash Chandra ...
Python Experiments Answers: LCM, Primes, and Longest Word Functions ...
I’m Giving the Disgraced Noble Lady I Rescued a Crash Course in ...
News 12 | Westchester | Police Offer Reward For More Information About ...
College students are changing course in search of 'AI-proof' majors ...
Iowa golf course lighting project scrapped after neighbor pushback ...
NPTEL Course Practice | NPTELPrep | NPTELPrep
How to Teach Multi-Step Word Problems Step-by-Step – Special Education ...
03UCEST105 Algorithmic Thinking with Python - Scheme of Valuation ...
Diving Into AI How to Chart a Clear Course for AI Adoption in your ...
logic and critical thinking freshman course final exam part two(2 ...
Basic Computer Course | Best Computer Institute in Meerut
Adventure Island: The Midwest's Largest Floating Obstacle Course — Bear ...
What Is The Name Of The Golf Course Where The Masters Golf Tournament ...
Free Machine Learning Online Course | Learn and Innovate | CipherSchools
Ruju Ilal Quran Course | Lahore
Restaurants of Niagara | Embark on a six-course tour of Italy—one ...
Python Free Online Courses [With Certificate]
Meet ChatGLM: An Open-Source NLP Model Trained on 1T Tokens and Capable ...
📣 Calling all 9th–12th... - CHA Maryland Homeschool Prom | Facebook
Mifflin County’s Carter Smith wins back-to-back District 6-3A XC gold ...
Remote workers planned a big beach meet up. The city says that’s ...
Wikipedia blacklists Archive.today, starts removing 695,000 archive ...
Dodgers season ticket holder given print tickets after his story went ...
Victoria cancer survivor, 80, completes 10K race alongside son ...
Pakistan Throws Open Its Gates for Iran’s Transit Trade to Third ...
Course Map - Mint Valley Golf Course
We combed every inch of Amazon for these 12 affordable dresses — with ...
Planning a trip to Shimla? Best time to visit, weather updates and ...
Clock ticks on Trump's Iran ultimatum with little sign of breakthrough ...
Software Engineering Courses After 12th: Eligibility, Fees, Colleges ...
Baton Rouge food tour pt. 1 | Trying Parrain's Seafood
Python Programming Lab 1: Problem Solving & Algorithm Tutorial - Studocu
Class 12 AI (843) Unit 1: Python Programming Practical Notes & Programs
City of Edmonton’s 3 golf courses opening for 2026 season as warm ...
Lansing police investigate alleged sex assault in Rep. Friske case as ...
Seize the islands, hold the strait: How the US is quietly preparing for ...
Nigeria - Tinubu Urges New Ambassadors: Prioritise Investment ...
FayWHAT? When will Fayetteville get a Cheesecake Factory and a Trader ...
Large-Scale Operation Following Threat of Attack on ORF Center in ...
Couples may need more than $400,000 to cover health-care costs in ...
CNN: US confirms F-15 shot down over SW Iran, search and rescue mission ...
Advanced Certificate Program in Diet & Clinical Nutrition - Ahmedabad ...
Russian Learning Course
Python Installation and Programming Exercises - ASDFVB - Studocu
Python Programming Module 4 Notes: Random & Math Modules - Studocu
40+ Easy Sensory Obstacle Course Ideas for Kids
Man arrested after woman, 40s, dies following assault at Waterford city ...
Python filter() Function: Syntax, Examples, and Analysis - Studocu
Python Experiment 8: Character Frequency Analysis Program - Studocu
AI Course Creator - AI Tool For Courses
Pin on Python
3 course meal ideas – Artofit
The Course Development Process — Latest documentation
Rory McIlroy Withdraws from RBC Heritage 2026: Reason, Impact & What It ...
3 Course Meal Ideas - Yellow Bliss Road
as you read your etext, the menu options at the left of your screen ...
Marathon Vert Rennes 2025 : parcours, inscriptions et résultats - Blog ...
Wall St indexes set to open higher on Mideast de-escalation hopes ...
Field Games for Toddlers and Preschoolers — HOMER Activity Center ...
If you're in Pella, make your way through these places to eat
LA Marathon reveals why almost 1,000 runners who took a shortcut got medals
Norwell boys soccer tops Greater New Bedford in Div. 3 state final
The safest plane seat is the one you ignore most
What's new at Fayetteville Regional Airport?
NYU women's basketball, Peper complete undefeated season again
St. John Paul II girls basketball team loses in Final Four to Drury
Pulaski's Deedra Irwin, Appleton's Paul Schommer relish Olympic time
Camp Marin-Sierra: The spirit of scouting 75 years strong - ABC30 Fresno
Then & Now: The Moors restaurant, 712 Boston Turnpike, Shrewsbury
See city birds in urban birding hotspots
I secretly used sharpness 100,000 sword in Minecraft UHC
Eagles vs. Commanders highlights. Fight breaks out in Week 16 game
Chase Roberts hopes to benefit from Raiders' ascendant new coach
Building a kingdom over one hundred Minecraft days
The Aldi Mocktail I Won't Buy Again (It Tastes Like Bad Apple Juice)
The 16 members of the 2025 Daily News fall golf All-Star team
Natick's John Bianchi joins father Jamey as Bay State x-country champ
Turning math into Python-powered solutions
NASCAR Chicago Street Race Weekend: Preview, TV Info, FYIs
Cumberland County Board of Commissioners has changed these projects
London team time trial revealed for Tour de France Femmes in 2027
At the Masters, Jon Rahm is lost
Series preview: Rays at Guardians
Alissa and Michael Marcella are Pembroke basketball's shooting stars
Trump goes from ‘speech of love’ to ‘you’re a disgrace’ after shooting
Rare two-colored lobster is donated to science center
Algorithmic Thinking with Python: Module 2 Overview - Studocu
Every Faction In Windrose
Michael Kim betting profile: Cadillac Championship - PGA TOUR
Expert Master's Coding & Algorithm Development in Australia
Russell Henley betting profile: Cadillac Championship - PGA TOUR
10 Items To Use When Setting Up Obstacle Courses - The Autism Helper
Home Page - BCA CitraLand Marathon
David Lipsky betting profile: Cadillac Championship - PGA TOUR
High & Low Ropes Courses - Camp Andrews
Sepp Straka betting profile: Cadillac Championship - PGA TOUR
Alex Fitzpatrick betting profile: Cadillac Championship - PGA TOUR
Gary Woodland betting profile: Cadillac Championship - PGA TOUR
EDF announces return of bill-cutting scheme amid rising cost concerns
Proposal Letter for Educational Activities - F5 Students - Studocu
J.T. Poston betting profile: Cadillac Championship - PGA TOUR
Chapter 3: Income Concepts True/False & MCQ Review - Studocu
2022 Yr 12 Mathematics Ext 1 Task 3 (Suggested Solutions) - Studocu
6 Best Free Prompt Engineering Courses [FEB 2024]
Bryson DeChambeau explains LIV Golf withdrawal as nightmare week continues
Coastal Courses – Explore Michigan
The Adventure Collective
Harvard Quick Referencing Guide - Studocu
Here's how you draw a Ford GT40
BONE HISTOLOGY: Practical Handout for Self-Directed Learning - Studocu
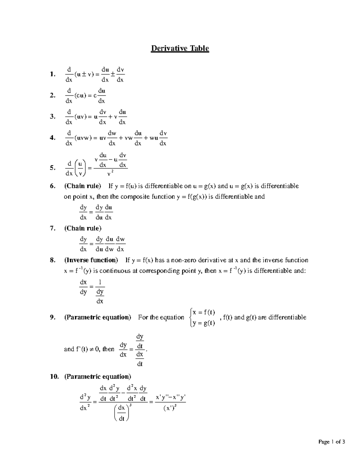
Calculus Derivative Table (MATH 101) - Studocu
Lenawee County schools kick off golf season, Tecumseh wins at Ida
JAMB 2026/2027 UTME Cut Off Mark for All Courses - JAMB News Today 2026
Wave 5 BCP trailer - MKPC Forum
Hitendra R. Patil - Center for Transformation
Facebook
Based on this image's title: “Python Problem-Solving: Word Frequency, Matrix Multiplication, | Course ...”