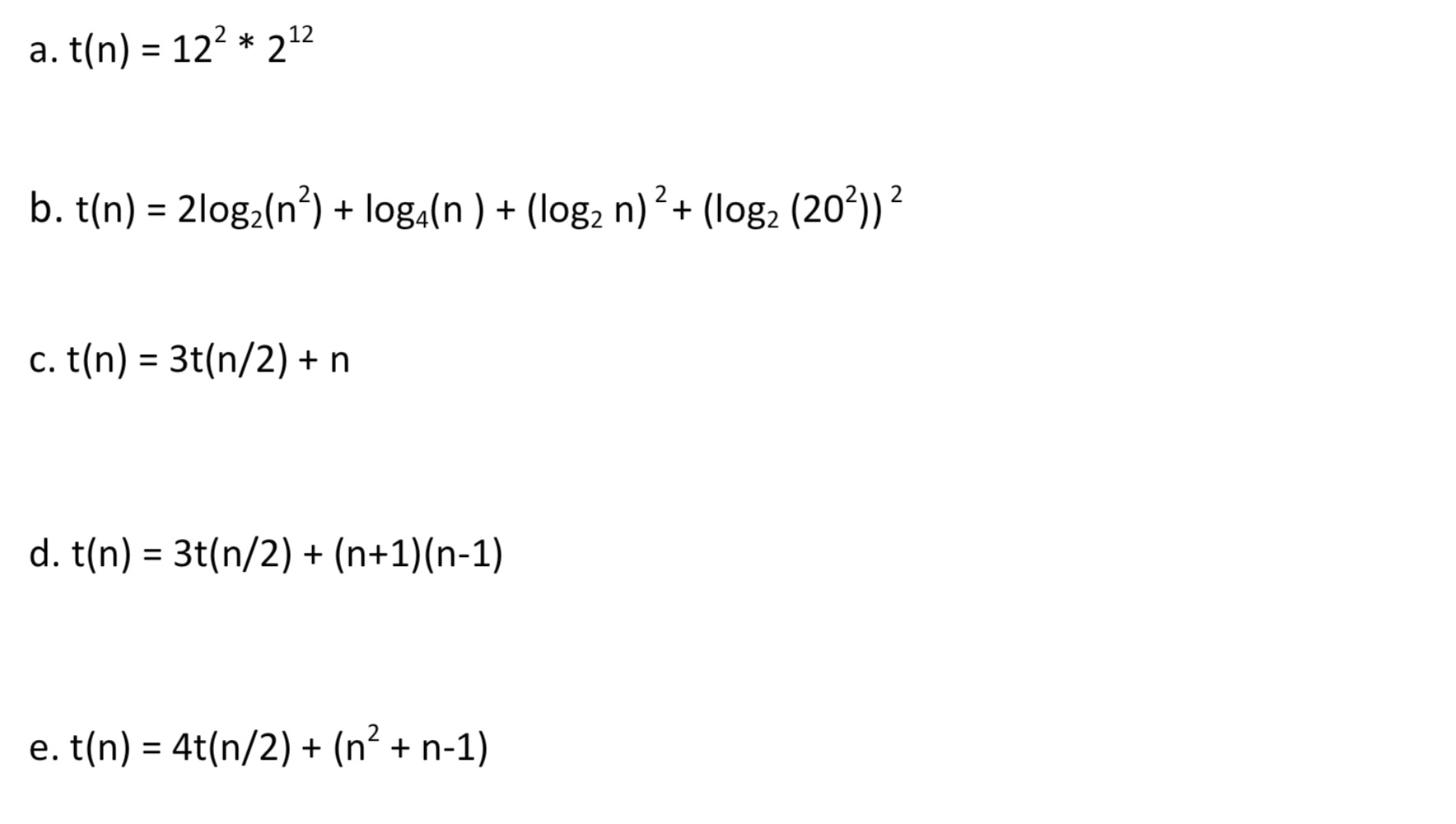
Solve ie provide a tight bigTheta bound on the follow.pdf
Solved 5. Provide a tight bound on the the worst case | Chegg.com
Solved 3. Provide a tight bound on the the worst case | Chegg.com
Solved Solve, i.e. provide a tight Θ (big-Theta) bound on | Chegg.com
Solved Give a tight bound (using the big-theta notation) on | Chegg.com
Solved Give a tight asymptotic bound ( Θ-notation) on the | Chegg.com
Solved Provide a tight bound guess for the following | Chegg.com
Solved Provide a tight theoretical lower bound for the | Chegg.com
Solved 3. (14 points) Give a tight bound (big theta) for the | Chegg.com
Solved Problem 3. (20 points) Give a tight bound (using the | Chegg.com
Solved WeirdLoop analyzeGive a tight bound (using the | Chegg.com
Solved (10 points) Give a tight bound on the following | Chegg.com
Solved Provide an asymptotically tight bound for the | Chegg.com
Solved find and prove the tight big-theta bound on the | Chegg.com
Solved b. [13] Solve the following recurrence. Give a tight | Chegg.com
Solved e) Use big-Theta notation to state a tight bound on | Chegg.com
Solved Solve the following recurrence by giving a tight | Chegg.com
Solved Give a tight bound of the nearest runtime complexity | Chegg.com
Solved For the following algorithm, give a tight upper bound | Chegg.com
Solved (b) Give a tight bound for the following recurrence: | Chegg.com
Solved For each of the following plots, provide a tight | Chegg.com
Solved 8. Provide a Θ bound for each of the following: (c) | Chegg.com
Solved Provide a Θ bound for each of the following: (a) | Chegg.com
Solved Provide the tight bound Big O runtime for the | Chegg.com
Solved What is the tight bound using Big-Theta notation for | Chegg.com
Solved find a tight bound for T(n) in Big Theta notation for | Chegg.com
Solved 5. Obtain the tight bound (i.e., bounds for θ ) for | Chegg.com
Solved 2. (12 points) Give a big-theta bound for each of the | Chegg.com
Solved For the functions below, give a BIG-THETA BOUND and | Chegg.com
Solved Solve the following recurrence relations and provide | Chegg.com
Solved Determine the tight big-O bound for the following | Chegg.com
Solved Give a big-theta bound for the solutions of the | Chegg.com
Solved Solve the following recurrence formulae and give a | Chegg.com
Solved 1. Find and prove a tight asymptotic bound for f(n), | Chegg.com
Solved Q4 Which of the following is a correct tight | Chegg.com
Solved 1 (4.5 pts) Give a big- θ bound for the solutions of | Chegg.com
Solved Give a big-theta bound for the worst-case runtime of | Chegg.com
Solved Examples: Find the tight bound of the following | Chegg.com
Solved Provide Tight Upper Bound Theta Time Complexity for | Chegg.com
Solved Solve the following recurrences by giving tight | Chegg.com
5. Obtain the tight bound (i.e., bounds for θ ) for | Chegg.com
Solved Provide tight asymptotic bounds for the following six | Chegg.com
Solved What are the asymptotic tight bound (Theta) of the | Chegg.com
Solved 3. Give a Θ bound for the following recurrence. Be | Chegg.com
Solved Find asymptotic tight bound → Big-Theta function of n | Chegg.com
Solved 5. Use approximation by integrals to show the tight | Chegg.com
Solved Find a big Theta Notation for the following and then | Chegg.com
Solved Use Master Theorem to give tight asymptotic bound (in | Chegg.com
Answered: 1. Find the asymptotic upper (big O), lower (Omega) and tight ...
Solved 13) (10\%) Give asymptotic tight bound (Θ) for T(n) | Chegg.com
Solved 10. Find Upper Bound, Lower Bound and Tight Bound | Chegg.com
bm tight bound | PDF
Solved 1. Give a big-theta estimate for the time complexity | Chegg.com
Solved Give tight asymptotic bounds for the following | Chegg.com
Answered: Use the Master Theorem to find and prove tight bounds for ...
Solved 3.3 Give a big-Theta estimate for the number of | Chegg.com
Solved 1. For each of the functions below, provide the | Chegg.com
Solved Problem 6 Given the list of functions below, | Chegg.com
Solved Let t(1) = (1), find asymptotic bound (Big-Theta | Chegg.com
Solved Use the master theorem to determine the big theta | Chegg.com
Solved d. Let the time complexity of each of the following | Chegg.com
Solved In this problem you will find and prove tight | Chegg.com
Solved d. Let, the time complexity of each of the following | Chegg.com
Solved 6 (8%). Give big-theta estimation of the following | Chegg.com
Solved Determine the big-Theta for the following code | Chegg.com
The Big Theta (θ) Notation - YouTube
Solved 2. Determine big Theta for the following code | Chegg.com
Solved (4) Use Big-Theta ( big- θ) to esfimate for the | Chegg.com
Solved Select the Big-Theta (Θ) estimate for the number of | Chegg.com
time complexity - Proving a function is in big theta using limit method ...
Use the definition of big- Theta to prove that 5x^4 + 2x^3 - 1 is The.pdf
Solved 4. (20 points) Answer the following: a. (10 pts) | Chegg.com
Problem 3 Given the list of functions below, | Chegg.com
Solved Find the runtime of the following algorithm in Big Θ | Chegg.com
Solved Give big-Theta estimates for the following | Chegg.com
Solved Give a useful Θ (big Theta) estimation for each | Chegg.com
Solved For the following pairs of functions, relate one | Chegg.com
Solved Bonus 1 Find the theta(.) bound T(n) = | Chegg.com
Solved For each of the following functions, use big-O | Chegg.com
Understanding Big-Theta (Θ) Notation In Algorithm Analysis
Solved 2 PROBLEMS In this problem you will find and prove | Chegg.com
Answered: a) Alice has asked you to help her classify these functions ...
Theta Notation for Analysis - GeeksforGeeks
Theta notation | PDF
Asymptotic notations(Big O, Omega, Theta ) | PPTX
Solved f(n)=3(n-1)+3f(n-1)Solve for big-theta asymptotic | Chegg.com
Big O, Omega, Theta Explained | PDF
Big Theta(Θ) - DAA Tutorial | Study Glance
Theta
Big Omega and Big Theta Notations (Solved Problems) - YouTube
PPT - Algorithm Analysis PowerPoint Presentation, free download - ID:910210
PPT - Introduction to Algorithms PowerPoint Presentation, free download ...
Big Theta Notation - Learn DSA using JavaScript | BigBinary Academy
PPT - Design and Analysis Algorithm PowerPoint Presentation, free ...
PPT - Data Structures – LECTURE 2 Elements of complexity analysis ...
Chapter 1 Data structure _Algorithms.pptx
Big-O (Fully Explained in Detail w/ Step-by-Step Examples!)
SOLUTION: What is big omega and big theta notation - Studypool
PPT - Discrete Mathematics CS 2610 PowerPoint Presentation, free ...
Introduction to Asymptotic Notations.
Using Big Theta | PDF | Algorithms And Data Structures | Computer ...
PPT - J. Glenn Brookshear PowerPoint Presentation, free download - ID ...
Social entrepreneur is an entrepreneur whose ultimate goal i.pdf