Allied Unit 1 - Linear Programming Practice Material - Studocu
E Lab 3 - Mom - Mechanics of Material - Studocu
EDE 3 - EDE NOTES - Robotics And Automation - Studocu
Robotics practice - Studocu
Week #3 Ray tracing - Practice material about GPU programming - Week #3 ...
Robotics toolbox - Ingeniería De Control Y Laboratorio - **!"#$% - Studocu
Robotics Practice materials - Chapter 2 Solutions for Introduction to ...
ME449-Practice Exercises on Modern Robotics Concepts - Studocu
IRIP ARAL Reading Basic & Plus for Key Stages 2 & 3 - Studocu
LAB 4.17 - IT 140 Mad Libs with Loops Programming Guide - Studocu
CS 3351 Laboratory Manual for Programming Experiments - Studocu
CP Compre (OAC) - Computer Programming - Studocu
IRIP for ARAL Reading Basic & Plus - Key Stages 2 & 3 - Studocu
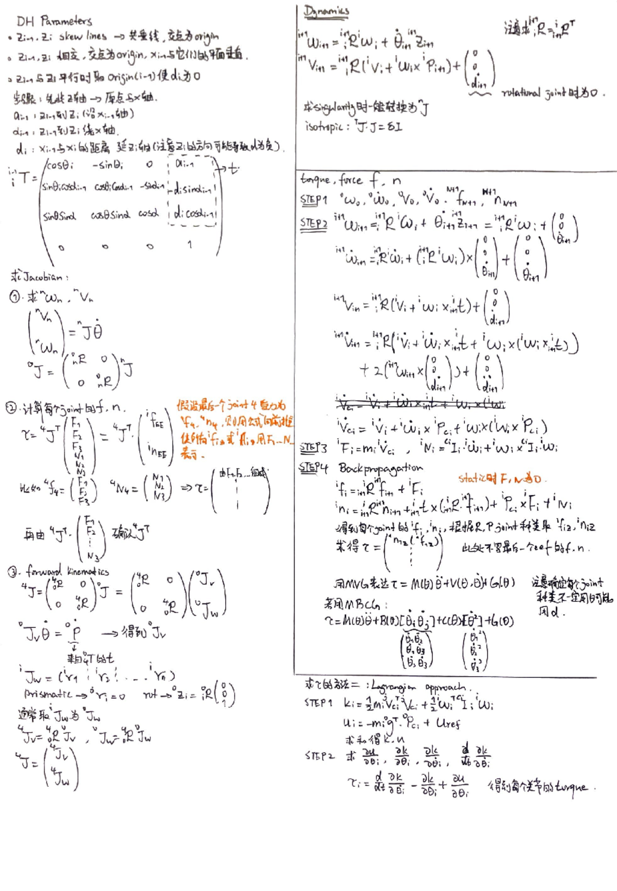
Denavit - Hartenberg Simple Example - Robotics - Studocu
Dsbdapractical 9 - Robotics - Studocu
Notiz - Robotics - Studocu
Robotics And Intelligent System - AIT304 - KTU - Studocu
Module 2: Fabrication Techniques for Robotics Materials - Studocu
Robotics QB - Ques B - Studocu
Quiz 3 A - quiz - QUIZ 3 Robotics and Automation(A) Syn___ Name ...
A Comprehensive Guide to Programming a Robot with Python - Awe Robotics
C Programming Practice Assignments - C Programming Practice Assignments ...
Assignment 2 - robotics - ECE 4180 - Studocu
Robotics CT - 3 4 Marks - Just used chatgpt to generate ans - How the ...
Robotics - Practical Research - Studocu
UNIT 3 LAB QUIZ - practice - UNIT 3 LAB QUIZ Sadie Thompson, an 18 ...
Additional Material - Studocu
Robotics 2022 - ggghh - [This question paper contains 3 printed pages ...
TRSA - Folha Teste 1 - Robotics and Autonomous Systems - Studocu
StuDocu Study material Stu APK for Android - Download
Coding and Robotics workshop Circular - Studocu
Robot Studio Lab 4 4 - – Robot Studio Lab 4 Programming In this lab you ...
ROBO237-Lab1 semester - Automation & Robotics - ROBO237 – Robotic ...
Robotic-sensors - artificial intelligence and robotics - Robotic ...
ROBO237-Lab1 - Automation & Robotics - ROBO237 – Robotic Applications ...
Steps to starting a lego robotics program - Steps to starting a LEGO ...
Lecture-Robotics - Diese Material zeigt sich über Robotec ...
Python Robot Programming 101: Master Python Coding for Robotics
GC and E assignment - Group 8 - Course Name: Robotics Application ...
Lesson Plan about Exploring Robotics - Title: Exploring Robotics Grade ...
Robot Industrial-Aplicaciones - - Studocu
Robotics QNsefeawfeqfgref - 1. What is the Robotics? A robot is a ...
Robotics 2018-19 answers - Sample Solutions to ACS March 18, 2019 1 ...
Additional Notes for Section 4 (robot programming) - Robot Programming ...
2. Lab Manual for Build-It Robotics Workshop - 1 Lab Manual for Visual ...
Introduction to Robotics Analysis Contro (1) - Mechanical Engineering ...
Python Programming I B.SC CS Notes - H. H. THE RAJAH'S COLLEGE ...
AQA Biology: Calculating the Mitotic Index Worksheet - Studocu
Lecture notes Robotics Advanced Part 1 - f Lecture notes: Robotics ...
Intelligent Robotics - intelligent Robotics Perception, reasoning, and ...
Robotics Lab with Students Programming and Controlling Robotic ...
Advanced Robotics in Medical - It is nowadays a daily companion for ...
Robotics and Coding - Term 1 - Workbook (Extra Practice)
13 Trajectory Planning Joints plus - Robotics 1 Trajectory planning ...
Actiidad 3 arq robot - UNIVERSIDAD AUTÓNOMA DE NUEVO LEÓN FACULTAD DE ...
Quality control measuring p H - General Materials - Studocu
Game Manual Robotics - Infinite Recharge Manual 1. Introduction- a ...
AI And Robotics Syllabus - Annexure ‘CD – 01 ’ FORMAT FOR COURSE ...
Robotics 4 Kinematics - vi tri - ma tran trang thai 4x3 - pptx ...
Robot AND Robotics - asdasdas - ROBOT AND ROBOTICS ROBOT Re ...
Darshan D 19021 A1 - sajith - 19AIE213 ROBOTICS AND SIMULATION ...
Prototype 1: Robot for Detecting Marine & Land Refuse Materials - Studocu
Chapter 3: Adapting Materials for Effective Teaching Strategies - Studocu
Robotics & Materials - IE 482LEC - Nathaniel Luker 50343163 ####### Hi ...
Conducting materials, unit 1 - computer appication - Studocu
FTC Starter Robot Blocks Programming Guide - YouTube
Post lab 3 - Lab 3 Report - Name: Date: Lab Section: Lab Report #3 Food ...
OPM robot remplisseuse - Studocu
19 GUI practical - Practice materials step by step guide part 19a on ...
Premium Photo | Robotics programming class Children construct and code ...
056 - ME8099, ME6010 Robotics - Question Bank - ME 2028- ROBOTICS ...
2.c program record - lab material - C Program: /area of circle/ # ...
Bio-inspired Robotics and Soft Robotics Notes de cours - Introduction ...
young woman studying robotics in industrial programming laboratory ...
Robotics Study Notes - Introduction à la robotique Robotique est l ...
Grade R Coding and Robotics Programming a Robot
Fundamentals of Nursing- Test bank 619 - Mechanics of Materials - Studocu
Ch5 phy - Lab preparation - Condensateurs et diélectriques - Studocu
Robot in a Maze - Lab - This works because once the Robot in a Maze In ...
Manual - DEPARTMENT OF MECHANICAL & AUTOMATION ENGINEERING LAB MANUAL ...
Step-by-Step Guide: Learn Robot Programming for Beginners
How to make a multi - How to make a multi-function Arduino robot How to ...
IV lab preparation questions - IV Lab Preparation Questions ...
robot swarm of matlab simulation - Received September 16, 2020 ...
LAB3 robot code - This is the code and the answers to the questions of ...
IT 145 ZyBooks - 3.35 LAB*: Program: Drawing a half arrow - import java ...
Grade-10 STE Electronics- Robotics Q4 Mod-1: Constructing Robots ...
CW1C - Copy - This assignment is use full for the course. - Report ...
Laboratory 1 Bacterial Smear Preparation - LABORATORY MODULE 2 ...
Lecture 22 - Lecture 22 – future sexualities Outline - Reproduction ...
Worksheet 1 - Reagents-Preparation-and-Calculations - Page | 1 Cell and ...
Unit 2 Lesson 4 When Technology and Humanity Cross Part 2 - (Part 2 ...
Lab1 - ,sddfsdf fsfcefs cfdrf - Program: Computer Engineering&Robotics ...
Computer Integrated Manufacturing and Robotics Assignment 02 solve ...
MLT 415 Lab Report Smear Preparation and - Objectives: To prepare smear ...
Pre-final exam - reviewer - PRE-FINAL EXAM | FRELEC4_ROBOTICS I ...
1861031 Pract 2 WS - Espacio de trabajo de un robot - Facultad de ...
Lab2 MDR SC181986 - SSS - Universidad Don Bosco Guía Practica N° 2 ...
Document 65 - Mechanical engineering plays a crucial role in the field ...
Educational Robotics for Creating Effective Computer Science Learning ...
BS-Robotics-Engineering - FIRST SEMESTER SECOND SEMESTER Course No ...
Chapter 12 Ex Problem - Key for ch12 - Chapter 12 Ex Problem SHORT ...
Chapter 1-Problem Solving - The problem solving process starts with the ...
Robotics Lab for School, STEM Lab, AI & Robotics Lab, Robotics and AI ...
Premium Vector | Students Programming Robotic Exoskeletons for ...
Ch-1 Interference - Physic 1st year engineering - Artificial ...
Unleashing Creativity and Knowledge: A Guide to Kids Robotics ...
Civil test preparation guides - Introduction: Assalam o alaikum, you ...
DLD project 1 - Friday, 24 th June 2022 Digital Logic Design Semester ...
Kinematics of Manipulators - prismatic joints 平移关节 Kinematics of ...
Smart robots in the lab – for automated sample handling - item Blog
Transcription Translation practice sheet from old lab manual 2016 ...
Robotics-activity - yes - Alrianne C. Rendon 10-Zara 11-22- Good day ...
BCE 222 Chapter 1 - STRENGTH OF MATERIALS Chapter 1: Normal Stress ...
Robot Installation guidelines draft V0 - TABLE OF CONTENTS ROBOT ...
Robotics Lab For School at ₹ 120000/piece | Robotics Kits for Students ...
Design and Build an Arduino-Based Trainer Kit as Learning Media in ...
Based on this image's title: “Stage 3 Lab: Robotics Programming Practice Material - Studocu”