Premium Photo | Python programming language on server room background ...
#programming programming language Python (programming) #logo #4K # ...
Python Programming for Beginners: The Complete Guide to Mastering ...
Download 4k Programming Python Codes Wallpaper | Wallpapers.com
Python Programming Wallpapers - Top Free Python Programming Backgrounds ...
1. Fundamental Concepts of Python Programming — Introduction to Python ...
Python Programming Language Wallpapers - Top Free Python Programming ...
Online Course: Computer Science for Python Programming from Harvard ...
Download 4k Programming Python Application Logo Wallpaper | Wallpapers.com
Python Programming (CS101) - Unit 1 Notes and Concepts - Studocu
Download 4k Programming Python Logo Wallpaper | Wallpapers.com
#codsoft #python #internship #beginnerprojects #codingjourney # ...
Components of a Python Program | CBSE - Class 12 Qissba
Introduction To Python Programming - PowerPoint Slides - LearnPick India
Welcome — Python Programming
16 Key Features of Python Programming Language - Scientech Easy
Anime Programming Wallpapers - Top Free Anime Programming Backgrounds ...
Python 3: The Comprehensive Guide to Hands-On Python Programming
6 Websites to Practice Python Coding Online | Free & Paid Exercises
OOPs (Object Oriented Programming) in Python | Board Infinity
Python Developer Wallpapers - Top Free Python Developer Backgrounds ...
4K Programming Wallpapers - Top Free 4K Programming Backgrounds ...
Python Mini Project Examples | UX Python
Add AI Search to Existing Web App | Vector Database Integration ...
Section 1 IoT and Technology - Internet of Things and Big Data ...
Vector Database Job Support & Interview Preparation | ML Engineer ...
Python Crash Course by Eric Matthes · OverDrive: Free ebooks ...
Python switch case: Learn all about control structure - Copahost - MSF ...
Programming the Future: S5 Students Win Big at Engineering Workshop ...
S01 Slides - AB0403 - 7/28/ Seminar 1: Introduction & Programming Basic ...
How to use Python: Best free online Python courses | Mashable
Best Python IDE in 2026: PyCharm vs VS Code Features, Performance & AI ...
Python Programming Theory Exam - KNC302 (B. Tech) - Studocu
Iterators in Python | Python For Everything
🐍 Building My Foundation in Python Programming
5 MCP Dev Summit Takeaways That Change How You Build Python Agents ...
Python Programming Module 4 Notes: Random & Math Modules - Studocu
6th Sem - English Literary & Python Programming Exam Notes - Studocu
Introduction to Python Programming(Beginner’s Guide) |Board Infinity
Complete Python Roadmap for Beginners in 2022 – CopyAssignment
Top 16 Applications of Python - Scientech Easy
What Are The Diffe Data Types Used In Python - Infoupdate.org
Pin on Python
11 Ways You Can Use Python For Cybersecurity In 2024
Make A Ic Version Of Yourself In Python Code Exle - Infoupdate.org
GitHub - AbdulMalikDev/PythonCheatSheet: A Cheat Sheet 📜 to revise ...
Anthropic introduces the Model Context Protocol | InfoWorld
Python Data Visualization Exercises - Engiverse
Scientific Python (Scipy) for Machine Learning
🎓 Internet of Things (IoT) Internship in Trichy – 2026 Batch - Project ...
10 Best Mobile Application Development Companies to Watch in 2026 ...
Compiler Python
What’s New in Photoshop 2026? - Mastering Adobe Photoshop 2026 - Second ...
Stop Watching, Start Doing: Why AMBÉONE’s Physical Classroom is the ...
Your Tech Girl - 13 Complete YouTube Playlists for... | Facebook
STEM educators tap into new Python teaching resources
Best Python Scripts for Exploratory Data Analysis
Programmer Desktop Wallpapers - Top Free Programmer Desktop Backgrounds ...
Por que Python é a linguagem preferida para análise de dados? - Blog 4Linux
Turn Python lessons into epic adventures
1280x720 Python Logo 4k 720p Hd 4k Wallpapersimagesbackgrounds
imc upgrades Famos for faster insights from engineering measurement ...
Grade 7 Revision Worksheet 1: Python Coding Errors & Exercises - Studocu
Cover - ChatGPT for Java: A Hands-on Developer's Guide to ChatGPT and ...
Two. Best Practices in Leadership Assessment - The Practice of ...
How to pass multiple parameters to Web API controller methods | InfoWorld
W07 - Univariate Count Data: Analyzing Categorical Variables - Studocu
Python's asyncio Library Faces Growing Criticism Over Design Flaws and ...
COMPUTER PROGRAMMING I (Midterm Exam) Review: Strings & Functions - Studocu
Python (Programming Language) Wallpapers
CPS844 Data Mining Final Exam Study Guide from Lecture Notes - Studocu
MA1522 Lecture 4: Advanced Concepts and Examples - Studocu
Python & KNIME, unlimited resources for data analysts
Discussion on "Introducing OneNLP - First Natural language processing ...
Ruby Central Takes Control of RubyGems After Maintainers Resign En ...
Terraform Basics for DevOps Engineers: Infrastructure as Code Guide ...
Forget Chatbots: The Rise of Autonomous AI Agents is the Real 2026 ...
STAT1070 Week 4 Lecture Notes: Probability and Distributions - Studocu
How to Install Java on Ubuntu 26.04 | Linuxize
PYTHON CHEAT SHEET: 100 DAYS OF CODE BOOTCAMP OVERVIEW - Studocu
Python Assignment Unit 3: File Handling and Modules - Studocu
AI Drives New Epoch in Software Development, Legacy Practices and ...
MATH 323 - Probability Concepts and Random Variables Notes - Studocu
EXP6 - AI Experiment Using Minimax Algorithm in Python - Studocu
Snake Ladder Game Project Report - B.Tech CSE (2303510109003 ...
AI ML Module 1: Intro to Python & Data Science Overview - Studocu
SI Worksheet Six - Python Functions, Strings & Loops Assessment - Studocu
Algebra Review: Middle 1 Practice Problems and Solutions - Studocu
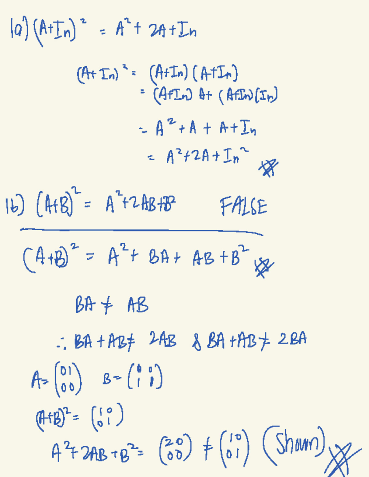
MA1513 Chapter 1: Linear Systems & Matrix Algebra Lecture Notes - Studocu
Chapter 6: Return Values - Think Python - Studocu
Case Study: N-Body Simulation
Mark Lutz's Books, Software, Etc.
What is Linting?
Chapter 17: Generative AI - Data Makes the World Go 'Round [Book]
Which Is the Best Language for Natural Language Processing?
🌾 AI & ML-Powered Crop Recommendation Systems: Revolutionizing Agriculture
Anthropic MCP Hit by Critical Vulnerability Enabling Remote Code Execution
8 Types of LLMs used in AI Agents https://t.co/Z1u8qy4KLz
Level up your career with an online IT degree
Software Dowsstrike2045 Python: Smart Automation Guide
Your ultimate beginner to pro coding roadmap
NAR Chapter 5 - Software Engineering Notes - Studocu
DuckDB – An in-process SQL OLAP database management system
Code the Future – Jehison David Sánchez
BAF4209 Final Exam: Financial Modelling and Forecasting Insights - Studocu
SI Worksheet Five COMP100: Loops and Functions Quiz - Studocu
AI 5 - Unit 5: Understanding Probabilities and Events - Studocu
What is The Difference ? https://t.co/05K4OyBpHE
Lesson 8: Systems of Linear Equations Overview and Methods - Studocu
COS 132 S1 2026 Study Unit 7: Managing Memory Notes & Examples - Studocu
Time Series Analysis Notes - Components and Transformations - Studocu
User Test Report: Python_Tutorial II Sem - 20 Feb 2026 - Studocu
Chapter 3: Random Vectors in Linear Statistical Models (Chan) - Studocu
Leet Learner: Coding Interview‑App – App Store
Based on this image's title: “Python programming | Lecture 1 : Variables |Mr Argha #python # ...”