T15 Handson - 1 T15 1 Hands on To open pdf file go to application file ...
How to Open PDF File on Windows 11 - GeekChamp
How to Open a PDF in Word on Windows/Mac? [Two Ways] - MiniTool ...
How To Open Pdf File In React Native - Printable Forms Free Online
3 Ways to Open a PDF File - Icecream Apps
How To Open Pdf File – Pdf Gratuit – ZYKNPS
Edge won't open pdf file in external application - Microsoft Q&A
How to preview a pdf file without opening it windows 10 - YouTube
Wings 1 T15 Wings Hands-on Analytics part 80827 | part 18 | TCS wings ...
Wings 1 T15 Wings Hands-on Machine Learning part 80827 | part 5 | TCS ...
How To Open PDF Files On Windows 11?
How to Open PDF Files in Windows 11 - TechnoPulse
How to Open PDF Files in Simple Ways - Easy Steps to Follow
wings 1 t15 wings environment overview 80827 part 1 - YouTube
T15 1 e | PDF
ThinkPad T15 Gen 1 - Lenovo / thinkpad-t15-gen-1-lenovo.pdf / PDF4PRO
Guide on How to Open PDF Files in Windows 10
How to Open PDF Files in Windows 11 - TechYorker
ThinkPad T15 Gen 1 Specifications Overview | PDF | Usb | Computing
How to Open PDF on Android: With and Without App | UPDF
How to open a PDF file? - MailMergic | Mail Merge PDF files
TCS Wings T15 Hands ON in brief - Read Description - YouTube
How to install, open PDF files, and make use of the free tools in Adobe ...
How to Open PDF Without Adobe on Windows and Mac
How to Open PDF on Android Without Downloading
4 Methods to Open PDF Files on Windows, Mac, iOS, and Android
T15 Notes MCQ 1 | PDF
Two Easy Ways to Open Attachments in PDF Files - UPDF
T15 Handson | PDF
T15 HANDSON FRESCOPLAY WINGS1 80827 @tech_world_Buddy - YouTube
How to Open a PDF in Google Docs with Two Quick Methods
Step 1: Open PDF File
T15 - Final Assignment Instruction | PDF
Quick Guide: How to Open PDF in Word
The Ultimate Guide To Open Publisher Files on Mac
Program To Open Pdf Documents
Guide on How to Make PDF Darker for Printing
ĐỀ ÔN LUYỆN (TT) - T15 - K11 | PDF
T15 A - 79912 | PDF
T15 Identification Form - Pension Scheme | PDF
How to Make Adobe Default PDF Viewer on Windows/Mac/Mobile
Word Cannot Open the File Because the File Format Does Not Match the ...
T15 | PDF
Hands On | PDF
T15 Syllabus | PDF
t15 Gen1 p15s Gen1 HMM en | PDF | Electrostatic Discharge | Booting
Filo t15 | PDF
How to Change Text in PDF | Step-by-Step Guide
T15 Hand-On Solution Id 80827 | PDF | System Software | Data Management
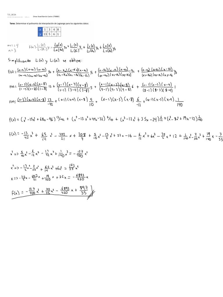
T15 Bcoa | PDF
How to Straighten a Scanned PDF in 2 Efficient Ways
How to Print Landscape PDF with Adobe Acrobat and its Best Alternative
T15 Hands-On Guide: Creating and Managing Redshift & EMR Clusters - Studocu
Convert Password Encrypted PDF to JPG with PDF Password Unlocker
How to Decrypt PDF Files in 9 Easy Ways? [PC/Mac/Online]
[4 Methods] How To Change Highlight Color in PDF
T15 Installation Manual - mechanic master
A Guide to e-file Forms 15G & 15H via Gen TDS/TCS Software | PDF
TEB T15 INSTRUCTION MANUAL Pdf Download | ManualsLib
Haylou T15 Manual - Download Center
How to Fix Outlook Opening PDF in Chrome [Tested Methods]
T15 Notes | PDF
How to Edit a PDF in Adobe Illustrator (Text & Objects)
t15 st17 Klucz1 | PDF
A Guide to Changing Your PDF Passwords
How to View PDF Online Without Downloading in Browser
How to Edit a PDF in Google Drive (Step-by-Step Guide)
T 1 | PDF
T-REX T15 Combo RH15E21X - RH15E22X
Best Ways To Compress PDF to 300KB
How to Open Multiple PDFs At Once in Windows 11/10
Open File
Tobii Dynavox T15 DynaVox T15 User Manual S6 DynaVoxT10 T15 Book
ML Nov Frescoplay Handson | PDF
4 Ways to Let ChatGPT Read PDFs
Unlock PDF Efficiency with Top PDF Index Generator Tools - UPDF
(English) User Guide (HTML) - ThinkPad T14, T15, P14s, P15s - Lenovo ...
Untitled - T15-ORG-MTL-EOM-01 | PDF
T 15 | PDF
(PDF) T15-Operation and Maintenance Info - DOKUMEN.TIPS
T15-1 PDFF | PDF
Toán 5-T15 | PDF
T-15 Operator Guide | PDF
Takeuchi TB15 Operator Manuals Series | PDF
T Series Readers Datasheet | PDF
T15BM Outboard Motor Owner's Manual | PDF
T24 @$### | PDF
如何在 Mac 系統從檔案功能表開啟 PDF 檔案
Opening Protected PDFs on Chrome
Open files — Acrobat for Android Help
T 15/1 Bp
T 15/1 HEPA | Kärcher
PaddleOCR Guide 2026: PP-OCRv3, v4, v5 for Developers