Trucos: Creando un método de extensión ToJSON() con .NET 3.5 – juanlao
Service Pack 1 Beta para VS 2008 y .NET Framework 3.5 – juanlao
Métodos de extensión en .Net - AlexMedina.net
Método de extensión en C#
Cómo parsear un objeto JSON con JS: Ejemplo de stringify
Extensión De Tríceps Por Encima De La Cabeza Con Banda: Guía de ...
Personalizar JSON.stringify() con el método toJSON() | todoJS
Conjuntos - Método de extensión - Ejercicio 1,2 y 3. - YouTube
Extensión De Tríceps Por Encima De La Cabeza Con Cuerda En Polea: Guía ...
Extensión De Tríceps Sentado Con Mancuerna: Guía de Ejercicios, Video ...
Extensión De Tríceps Con Cuerda En Polea: Guía de Ejercicios, Video ...
Extensión De Tríceps Con Barra Acostado Y Agarre Cerrado: Guía de ...
Extensión De Tríceps Sentado Inclinado Con Mancuerna: Guía de ...
Conjuntos por EXTENSIÓN con Ejemplos | Teoría de Conjuntos - YouTube
Extensión De Tríceps Con Banda: Guía de Ejercicios, Video, Técnicas ...
El archivo launch.json de la extensión DevTools - Microsoft Edge ...
JSON Extensión de archivo 】¿Qué es .Json y cómo abrirlos? 2026
Leer un archivo JSON con PHP - Jose Aguilar Blog
Creación de un archivo JSON - Asesoría y capacitación en informática
Cómo parsear un texto JSON con JavaScript - La Escuela del Programador
.JSON - ¿Cómo abrir el archivo JSON? Extensión de archivo JSON
Métodos de extensión en C# .Net, Agrega métodos a tus clases ya ...
Visualización de una respuesta de servidor o archivo JSON con formato ...
Compatibilidad con salidas estructuradas para la API de Prompt | AI on ...
🚀 Mapping más limpio con .NET 10 y C# 14 ¿Sabías que ahora puedes crear ...
INTEGRACIÓN DE JSON EN ECOSISTEMAS ORACLE – Spain Oracle User Group
Solicitud de Extensión de Informe Técnico | PDF | Crecimiento personal ...
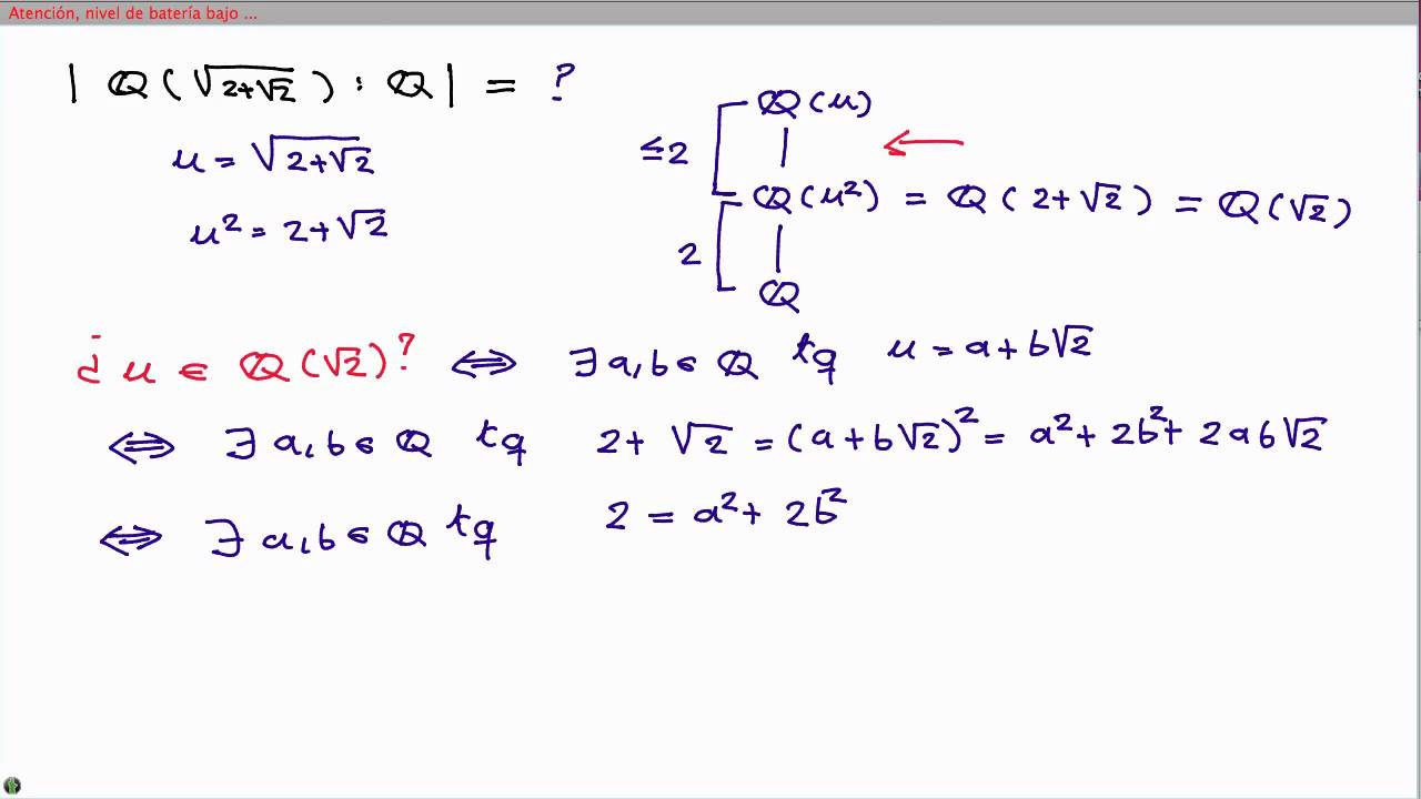
Grado de una extensión, mismo método en otro ejemplo - YouTube
Extensión de rodilla en máquina - Tutorial rápido - Galvistrainer - YouTube
Estrategia de Extensión para la Transición Agroecológica como modelo a ...
Leggere File JSON in Python – Come Caricare un JSON da un File e ...
Determinación Por Extensión y Comprensión de Conjuntos para Tercer ...
Escalera de Extensión doble en Fibra de Vidrio Certificada 20 pasos ...
Extensión De Pierna En Palanca (con Placas): Guía de Ejercicios ...
Compatibilidad de .NET para extensiones de VisualStudio.Extensibility ...
(DOCX) METODOLOGIA DE LA EXTENSIÓN - DOKUMEN.TIPS
Selección de Mokepon y Comunicación JSON en Express.js
El formato JSON | Tecnologias de la informacion y comunicacion ...
Dominando las respuestas de la API: La guía definitiva para el formato JSON
LECTOR JSON: Crea tu propia estructura de extracción de datos JSON ...
Guía Completa de JSON en Business Central - ABD Consultora Informática
JSON: Ejemplos y estructuras de objetos para órdenes de compra
MongoDB, Cómo crear una base de datos utilizando Compass
Herramientas para trabajar con API y JSON
Patrones de diseño - Adapter - 🎮 The power ups 💪
EXTENSIÓN AGROPECUARIA - EPSEA
Procesar archivos con formato JSON en Python (módulo json)
JSON es una forma de almacenar información de manera organizada y fácil ...
EXTENSIÓN AGROPECUARIA | EPSEA
JSON. Qué es y cómo usar este formato de estructura de datos. - YouTube
Que Es Json Coleccin Completa De Instrucciones
primer codigo con C sharp | PDF
📢💯¿Quieres tener una forma visual de ver la estructura de datos en tus ...
Cómo subir un archivo y datos JSON en Postman
Mini guía sobre JSON: qué es y para qué sirve - El blog de dinahosting
5 Ejemplos De Metodo Deductivo escuela - Jukkis
como CREAR un ARCHIVO JSON en VISUAL STUDIO CODE 🚀 - YouTube
Metodos de Extension | Planificación | Toma de decisiones
👉¿Que es JSON es y Para Qué Sirve | Guía Completa 2024 con Ejemplos ...
Importar un archivo JSON en MongoDB | Delft Stack
Conjuntos expresados por extensión y comprensión ejemplos - YouTube
Aprendiendo AWS Lambda con API Gateway y DynamoDB | PDF
DETERMINACION DE CONJUNTOS POR EXTENSION Y COMPRENSION PARA PRIMARIA ...
¿Qué es JSON? - Desarrollo web - Tendencias Tech
Qué es Json, cuáles son sus aplicaciones informáticas
Cómo abrir archivos JSON
¿Qué es JSON?
JSON — EduTech Wiki
Introducción JSON
Tutorial JSON: conversión a XML y viceversa - Eniun
Cómo abrir los archivos json
JSONBuddy Editor Extension - Visual Studio Marketplace
JSON Web Tokens (JWT): Guía Esencial y Buenas Prácticas - DEV Community
Archivos .Json: Qué es, para qué son, y cómo abrirlos | Magazine
Afficher les réponses ou les fichiers JSON mis en forme - Microsoft ...
Te Decimos Qué Es JSON y Cómo Usarlo En Tu Sitio Web
What You Should Know About .JSON File Extension - Computing.net
Iagovar
How To View Json File In Visual Studio 2022 - Dibujos Cute Para Imprimir
Understanding JSON Schema Lexical and Dynamic Scopes
Uploading a File and JSON Data in Postman | Baeldung
Importar datos en R - JSON
How To Create Json File In Visual Studio Code - Dibujos Cute Para Imprimir
Windows Forms Json Viewer at Lucinda Mckellar blog
How To View Json In Visual Studio Code - Dibujos Cute Para Imprimir
Extension Json Viewer at Timothy Greenwell blog
Hoe JSON-bestand op 7 mogelijke manieren te openen - All Things Windows
integration.jsonファイルの情報
Qu'est-ce que JSON ? Traitement des Données Semi-structurées
Funciones WINDOW DAX.
¿Cómo pasar datos a una función en C#? | Estrada Web Group
Extension Electrica Industrial 50 Mts at Minh Boser blog
JSON Formatter pour Google Chrome - Extension Télécharger
JSON File Format Icon. JSON extension filled icon. 15426473 Vector Art ...
JSON: Aprende qué es y por qué lo necesitas - Aprender BIG DATA
JSON File Format Icon. JSON extension line icon. 15426183 Vector Art at ...
Formato JSON en una API RESTFUL - YouTube
MobileJSON File Format Icon. JSON extension filled icon. 15426294 ...
Cómo importar / exportar datos JSON usando SQL Server 2016