Python Class Variables With Examples – PYnative
Class Variables And Instance Variables In Java
Class and Instance Variables in Python
Class Variables In Python With Examples – KHLJE
Python CLASS VARIABLES explained easy! 🎓 - YouTube
Python class variables 🚗 - YouTube
Python Class Variables | NSCVCE
python details about pythons - Class Level Variables and Class Level ...
Python Class Variables with Examples
Class Variables and Properties in Python: Public, Private and Protected
Python: Class Variables vs Instance Variables | (Video 248) - YouTube
Python Classes Part 2 - Class Variables - YouTube
PPT – Class Variables PowerPoint presentation | free to view - id ...
Static or Class Variables in Python? - Spark By {Examples}
Understanding Python Class Variables Across Multiple Classes - YouTube
Class variables in Python - YouTube
Python OOP Tutorial 2: Class Variables - YouTube
Class variables
Difference Between Class And Instance Variables In Python
Class variables and Instance variables in python - YouTube
Class diagram for tracing the values of variables 4. All the classes ...
Python: Instance Variables vs Class Variables (Static Variables) | by ...
Python class variables explained easy! - YouTube
How to Update or access Class variables in Python | bobbyhadz
PYTHON : python class instance variables and class variables - YouTube
How to Use Class Variables in Python 🐍💼 - YouTube
37.instance & Class Variables Python | PDF | Class (Computer ...
Instance and Class Variables in Python #43 | Python Tutorials for ...
Intro to Python - Day 3 - Class Variables vs Instance Variables - DEV ...
Python class variables and methods visibility - Stack Overflow
Instance variables vs Class variables in Python | Python Tutorial - Day ...
PYTHON : Accessing class variables from a list comprehension in the ...
Instance variables vs Class variables in Python | Crack IT with Anu ...
Understanding Class and Instance Variables in Python | by Sarmitha ...
What is the difference between class variables and instance variables ...
Instance Variables and Class Variables in Python with Notes | Python ...
Class Variables in Java - YouTube
Class and Objects in Python | class variables and instance variables ...
Python access to class variables
What is Class Variables and use of variables in python | How to get ...
What are the differences between class variables and instance variables ...
Class Variables and `@classmethod` in Python with Real-World Examples
Python class variables | Basics
Instance variables vs Class variables in Python
How to Use Class Variables in Python | by A.I Hub | Dev Genius
Top 4 Ways to Properly Define Class Variables in Python
Controlling the Variables for Perfect Class II Restorations
Linear Equations in Two Variables Class 10th Maths 1 | Practice Set 1.1 ...
What Is The Difference Between Static Method And Class Method In Python
Class variable and instance variable in Java | by Udara Chinthaka | Medium
Java Class, methods, instance variables - w3resource
Java Radar: class variable vs instance variable in java
Java-Latte: Global Variable vs Class Variable vs Instance Variable vs ...
Java Tutorials - Variables | Instance | static | final | local
Class Variables: Understanding the Concept and Functionality
java - How to Access Variable from Another Class without Creating New ...
Python Class Variables: Declaration, Usage, And Practical Examples ...
Python Class Variables: A Comprehensive Guide - oopstart.com
Session - 32 (Class variables and Instance variables in java) - YouTube
Class Variable and Instance Variable- Python | by Priyakp | Apr, 2024 ...
Class Variable : Python tutorial 190 - YouTube
Class Variable and Self() method in Python | Python Tutorials for ...
Classes objects and variables in java - Classes, Objects and Variables ...
Java Class Variables, Instance Variables, Local Variables, Parameters ...
How to access class variable in python | Learning Python #classvariable ...
Understanding Python Class Variables: A Beginner's Guide
Difference Between Instance Variable And Class Variable In Java
Accessing Variables Between Classes in Python 3 - DNMTechs - Sharing ...
LES CLASSES GRAMMATICALES LES CLASSES DE MOTS VARIABLES INVARIABLES ...
Explore the power of linear equations in two variables through ...
Diamond Audio HXM1100.6D Hxm Series 6 Channel Full Range Class D ...
District 4 Class 2A Wrestling Day One Results | Sports | dailyitem.com
CBSE Class 10 Maths Formulas: Complete Chapter-Wise Formula Sheet for ...
MAT1322 Final Exam Notes: Functions of Several Variables - Studocu
STAT1070: Practice Questions on Probability & Random Variables - Studocu
What Is Potential Energy Derive Its Formula Class 9 - Free Worksheets ...
Python Variables Explained For Beginners
LEC 13 - 21 ALL CODE: OOP Concepts and Class Implementation - Studocu
Exercise 2 Memo: Calculating Unknown Variables in Geometry - Studocu
W07 - Univariate Count Data: Analyzing Categorical Variables - Studocu
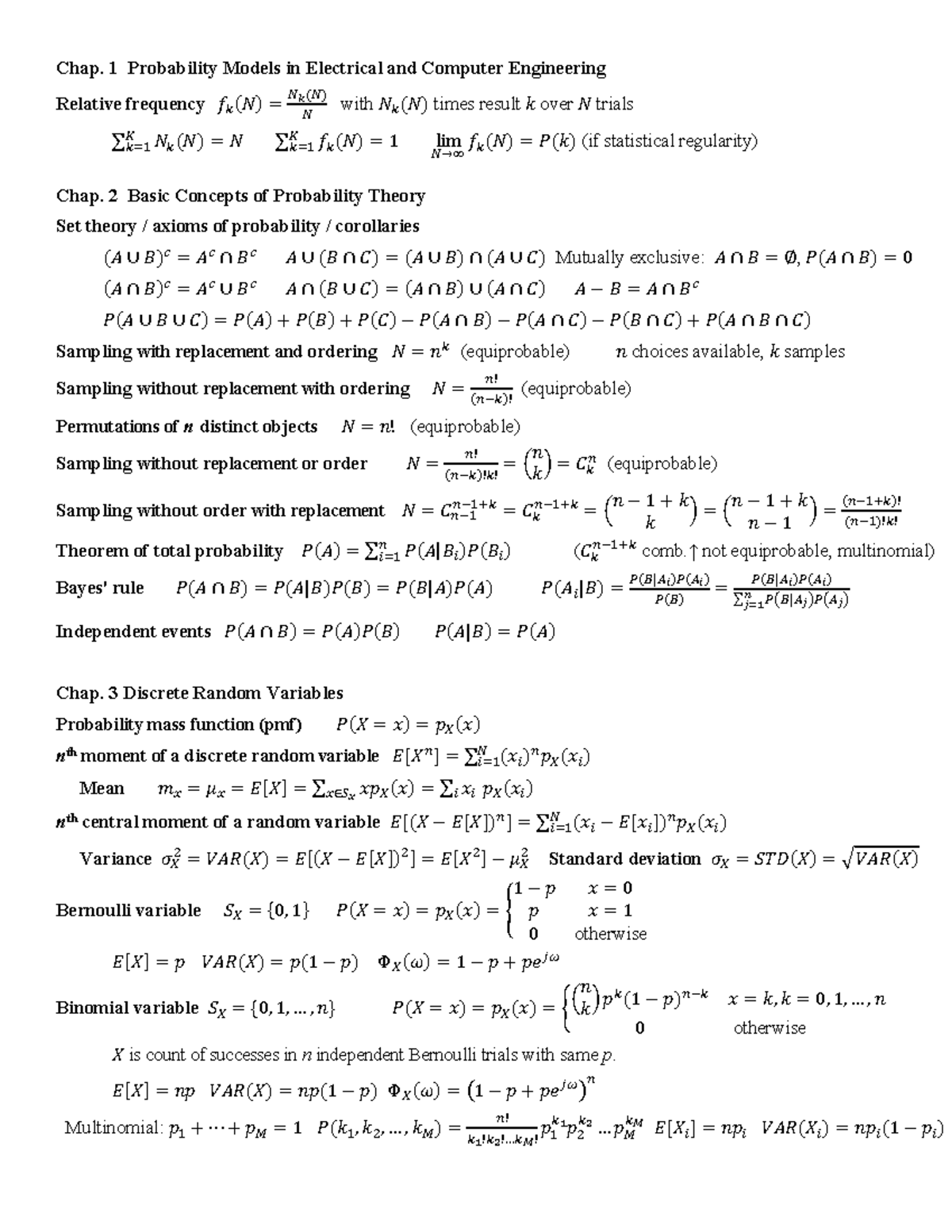
ELG3126 Formula Sheet: Probability Models & Random Variables - Studocu
Programming Fundamentals Home Tasks Week 09: Local vs Global Variables ...
MATH1011 Practical Class 1 Week 2: Functions, Limits & Continuity ...
Data Analysis and Output Variables - B2305194 - Studocu
Lecture Notes on Discrete Random Variables - Studocu
BMAT201L Final Assessment Test Nov 2024 - Complex Variables & Linear ...
Lec 20: Divergence Theorem & Change of Variables 9.17 - Studocu
PSYC 278 Quiz 1: Understanding Variables and Statistical Relationships ...
Unit 2: Class Fundamentals, Constructors, and Access Control in Java ...
Cheatsheet: Random Variables & Their Variance (PL POx E(x EO)) - Studocu
EE2012 Final Exam Cheatsheet on Discrete Random Variables - Studocu
MATH10067 Honours Complex Variables Exam Paper - April 2024 - Studocu
ST2132: Random Variables and Distributions Cheatsheet - Studocu
Structure of Java Program: A Comprehensive Guide
PPT - Classes and Objects in Java PowerPoint Presentation, free ...
Fields and Methods in Java
PPT - Advanced JAVA: OOP and Networking PowerPoint Presentation, free ...
Constructor in Object Oriented Programming (OOPs) in Python | Python ...
kiến thức - Object-oriented Programming trong Python | VOZ
PPT - Java Objects And Classes PowerPoint Presentation, free download ...
How to Access a Variable Between Classes in Python: A Beginner's Guide ...
Python's Magic Methods in Classes – Real Python
Campus Book: Unit2 : Introducing classes, object and method | Java ...
Three Keys to Advanced Python
Java Variables: A Beginner's Guide | Medium
Lesson 20: More Programmer-Defined Classes - Studocu
Tableau de la nature des mots (les classes grammaticales en français ...
Unit 3 Applied Science Revision Notes: Hypotheses, Variables, and ...
MGCR 233 Midterm Study Notes: Variables, Expressions & Loops - Studocu
Based on this image's title: “Class variables”