Cs3271 - Programming in C Laboratory | PDF | Pointer (Computer ...
CS3271 - Programming in C Laboratory | PDF
Programming in C Laboratory - CS3271 - Lab Manual | PDF | Computer ...
Cs3271 - Programming in C Laboratory Manual 2021-2022 | PDF | Computer ...
Programming in C Laboratory - CS3271 - Lab Manual | PDF | Body Mass ...
Cs3271 Programming in C Laboratory | PDF | Pointer (Computer ...
CBS For Lab Programming in C - CS3271 | PDF | Software Engineering ...
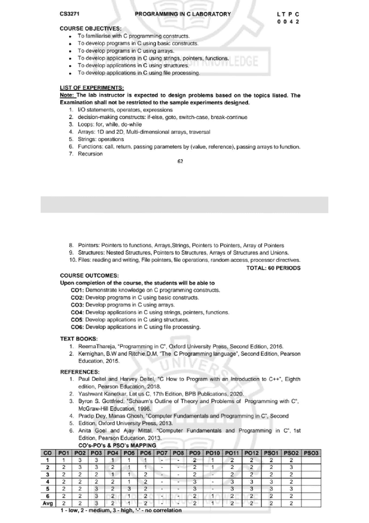
EXP1 - cp lab - CS3271 - PROGRAMMING IN C LABORATORY 1(a). Write a C ...
PC Lab Record - CS3271 Programming in C Laboratory - Studocu
CS3271 Programming IN C Laboratory L T P C - CS3271 PROGRAMMING IN C ...
Cs3271 Programming in C | PDF | Pointer (Computer Programming) | C ...
CS3271 Programming in C Laboratory Manual 1 - EX. : 1 PROGRAM USING I/O ...
programming in c laboratory titles - CS3271 PROGRAMMING IN C LABORATORY ...
CS3271 Programming in C Lab | PDF | Integer (Computer Science ...
Cmanual - cp manual - LABORATORY MANUAL for CS3271 : PROGRAMMING IN C ...
C Programming Lab Manual for CS3271 | PDF | Computer Program | Programming
CS3271 C Programming Lab Manual | PDF | Computer Program | Programming
CS3271 C Programming Lab Course Overview | PDF | Engineering | Knowledge
CS3271 C Programming Lab Manual 2023 | PDF | String (Computer Science ...
Ilovepdf merged - It's very useful - CS3271 – PROGRAMMING IN C ...
C Programming Laboratory Manual | PDF | Pointer (Computer Programming ...
Cs3271-Programming in C Lab - 2021 R-Ii Sem | PDF | Risk Management | Risk
CS3271 Programming in C Laboratory: Comprehensive Lab Manual - Studocu
Cs3271 Programming C Record Writing Part | PDF | String (Computer ...
CS3271 C Programming Lab Certificate | PDF
CS3271 C Programming Lab Manual | PDF | Integer (Computer Science ...
Programming in C Lab Manual - CS3271 - Comprehensive Guide - Studocu
Programming in C - CS3251 2nd Semester CSE Dept 2021 | Regulation Notes ...
II H&S CS3271 PICL LabManual | PDF | Pointer (Computer Programming ...
CS3271 C Programming Lab Manual: Programs & Algorithms - Studocu
1 C Lab Manual 03.04.2025 - Removed | PDF | Engineering | Science
C Programming Arrays and Strings Guide | PDF | Control Flow | String ...
CS3271-Programming in C Lab print out - EX:1a INPUT/OUTPUT STATEMENTS ...
CS3271 Set1 Lab Questions Set | PDF | Control Flow | Parameter ...
CS3271 Syllabus | PDF
Jntuk r23 Introduction To Programming | PDF
C Syllabus | PDF
Daa Elab Daa Elab Answers | PDF | Namespace | Computer Programming
How to Add Pages to a PDF in Adobe Reader [Full Guide] - EaseUS
cs3401 - Algorithms Lab Manual Final | PDF | Applied Mathematics ...
C Programming Lab Manual
GRACE COE-CSE-CS3271-Programming in C Laboratory-Ex1-I/O statements ...
GRACE COE-CSE-CS3271-Programming in C Laboratory-Ex6a- Functions: call ...
GRACE COE-CSE-CS3271-Programming in C Laboratory-Ex9-Structures:Nested ...
GRACE COE-CSE-CS3271-Programming in C Laboratory-Ex3- Loops: for, while ...
웹용 Pdf 파일 아이콘의 현대적인 평면 디자인 | 프리미엄 벡터
CS3401 Algorithm Lab Manual | PDF
CS3270 – Database Systems Course Outline | PDF
Cs3591 Computer Networks Lab Mannual | PDF
Cse 22 D | PDF
CS3271 SET4 - Lab Questioons - B / B. PRACTICAL END SEMESTER ...
Cs3461 Operating System Lab Manual-1-4 | PDF | Booting | Operating System
CS3401 Algorithms Lab Manual 2021 | PDF
Pdf Printable Calendars 2025 March
WWW Studocu Com in Document Anna-University Computer-Science Cs3271-C ...
pdf png 解像度, pdf png 変換 windows – CEVOX
Why Are Pdf Icons On Desktop Black at Sarah Boydston blog
Windows 11 | How-To Geek
Compress PDF to 550KB: Reduce & Resize Online! (Free)
Resize image for TikTok online for free
surya session power point presentation.pptx
Understanding DPI for Scanning Photos: A Comprehensive Guide
Based on this image's title: “CS3271 - PROGRAMMING IN C LABORATORY | PDF”