My pothole detector. Used yolov3 annotated images on labelimg. : r/Python
829 best r/python images on Pholder | This great message
786 best r/python images on Pholder | Any love for Python 2.5 on an i486?
Create Labels and Annotations for Custom YOLOv3 Google Images Dataset ...
An intelligent image annotation method based on YOLOv3 depth learning ...
243 best Python 3 images on Pholder | Python, Programmer Humor and ...
1440 best Potholes images on Pholder | New Orleans, Mildlyinteresting ...
276 best Python 3 images on Pholder | Programmer Humor, Python and ...
AI-Based Pothole Detection for Enhanced Road Safety - CyberSWIFT
Emaraic - How to build a custom object detector using YOLOv3 in Python
How to the annotation Images using LabelImg - YouTube
mAP (%, ↓) of black-box detectors under attack on INRIA dataset. The ...
deep learning - How do i convert JSON VGG file annotations into YOLOv3 ...
Training curves for detectors with YOLOv3 head or decoupled head which ...
[2] LabelImg图片标注 与 YOLOv3 网络训练 (待补充)-CSDN博客
YoloV3 Annotation Tool (for custom data) | by Michael Chan | Analytics ...
Label Images for Object Detection | Annotate Images using labelImg ...
[2] LabelImg图片标注 与 YOLOv3 网络训练 (待补充) - clemente - 博客园
Using labelImg for labeling images to train custom YOLO object ...
GitHub - mehmood-kashif/ANPR-using-DeepLearning: This project is ...
GitHub - Kiesh/PotholeDetection: Classification of Potholes Using ...
GitHub - vardan9674/YoloV3_PotHole-detection: Using Computer vision and ...
4K YOLO COCO Object Detection #2 - YouTube
Average Precision (AP) comparison of HOG_SVM [10] (in blue), YOLOv3_608 ...
Raspberry pi 4b にlabelIMGを入れてYOLOv3用学習データを作る その1:labelImgでアノテーション - Bye ...
GitHub - KavinduR0713/Real-Time-Object-Detection-and-Annotation-Tool ...
Data Annotation, Labeling, Tagging, Classification Service
Annotationツール比較:labelImgとVoTT(YOLO・SSD両対応のデータセット)|機械学習・AI|Nakasha for ...
Deep Learning Based Detector YOLOv5 for Identifying Insect Pests
LabelImg tool interface during annotation of a car class (green box ...
LabelImg: Easy Tool for Image Annotation Insight
A Friendly Guide to LabelImg [+Open Datasets, Models, Alternative Tools]
GitHub - abhaydhupar01/Nudity-Prediction-YOLOv3: Developed nudity ...
从头开始训练一个检测QR二维码区域的YOLOv3模型 - 知乎
Garbage_Collecting_Robot_Using_YOLOv3_Deep_Learning_Model (1).pdf
yolov3-tiny训练自己的数据集(重在步骤,不究原理)_51CTO博客_tiny yolov3训练自己的数据集
Raspberry pi 4b にlabelIMGを入れてYOLOv3用学習データを作る その2:自前学習データの構築 - Bye Bye Moore
The comparison of this work vs other competing deep learning detectors ...
pythonで物体検出!keras-yolov3でファインチューニングする方法 | みやしんのプログラミングスキル通信
LabelImg环境配置和使用 - 知乎
Free and Paid Data Annotation and Labelling Tools Comparison
Resume | PDF
python安装教程以及labelimg工具使用_python labelimg-CSDN博客
Qualitive comparison of the two detectors. The upper row is result of ...
【labelImg】Windows下配置labelImg2环境方法,内含Python、Anaconda配置_labelimg indows ...
Labeling with LabelMe: Step-by-step Guide [Alternatives + Datasets]
labelImg Docker Demo - YouTube
Obtaining large-scale annotation dataset for deep learning. a ...
Labelimg打标工具编译版使用介绍——免安装conda等python虚拟环境,简单易用上手快,不容易报错_labelimg 编译-CSDN博客
Training Custom Object Detector — TensorFlow 2 Object Detection API ...
labelIMGで出力YOLOv3形式のテキストから画像を切り抜く - Bye Bye Moore
Some examples of correct detection in bad-lighting condition | Download ...
Process of forming bounding boxes using YOLOv3. | Download Scientific ...
Vehicle detection and classification using three variations of you only ...
Yolov5をカスタムデータで学習させる(Python) - フードテックブログ
30 best data labeling tools [2023 Q2 Updated] | SuperAnnotate
一文看懂yolov7;yolov7详解
【Python】ラベリングツール「labelimg」 エラー対策(応急処置)|星杜なぎさ
Shivam P. Profile | Freelancer
GitHub - dansecret/LabelImg: Labeling Image Data with python and OpenCV
labelImg安装教程——简单只需4步 - 知乎
Do image annotation and labeling by Kainatabrahim | Fiverr
Image and video annotation | PDF
2- Annotation Labeling [Labelimg] (Part 4) - YouTube
20550-38934-1-PB.pdf
图像标注的基础内容介绍-CSDN博客
Heet detroja.resume | DOCX
Python Apex YOLO V5 6.2 目标检测 全过程记录 | AI技术聚合
Custom Object Training using TensorFlow Object Detection API - Part 2
不同的机器视觉任务中如何做图像标注-苏州嘉励
从0到1全流程实现厨房老鼠检测_老鼠数据集-CSDN博客
基于Faster R-CNN的火电厂冷却塔检测及工作状态判定
Dental caries detection using faster region-based convolutional neural ...
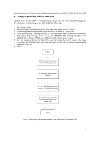
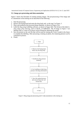
A DEEP LEARNING-BASED ACCURATE DRUG DETECTION, IDENTIFICATION AND ...
Presentation of Helmet Detection Using Machine Learning.pptx
A Deep Learning-based Accurate Drug Detection, Identification and ...
Based on this image's title: “My pothole detector. Used yolov3 annotated images on labelimg. : r/Python”