Chapter - 7 Python List Manipulations - 0 | PDF | String (Computer ...
Python Chapter 7 - Python Fundamentals | PDF | Data Type | String ...
Chapter 7 - Python Functions | Book Back Two Marks | 12th Computer ...
chapter 7 application and quiz..docx - Chapter 7 Secondary Data Sources ...
Auditing in CIS Environments: Chapter 7 - Application Controls Overview ...
+1. CA Performance Handbook For DB2 For zOS - CHAPTER 7 - Application ...
Chapter - 7 Python Programming | PDF
CBSE Class11 Computer Science Chapter 7 Python Fundamentals MCQ Part1 ...
!! Core Python !! Chapter - 7 !! | PDF
Chapter 7 Python Fundamental Class 11 | PDF | Reserved Word | Computer ...
Chapter 7 Python fundamental | Part 1| Class 11 Computer Science - YouTube
Chapter - 7 Python Collective Tuples | PDF | Boolean Data Type | Bracket
Solutions: Chapter 7 - Python Crash Course, Third Edition
Computer Revision Worksheet Class 7 Chapter 6 | PDF | Python ...
Chapter 7 Python Functions(Lambda funtion) - YouTube
CHAPTER 7 APPLICATION of FUNDS Financing Facilities and The Underlying ...
chapter 7 Python 3 Multiple Assignment: Unraveling the Magic #coding # ...
Samacheer Kalvi 12th Computer Science Solutions Chapter 7 Python ...
Chapter 7 Application of Thermodynamics To Flow Processes UTAS ...
SM PDF chapter 7 - Solution manual for all physics assignments in ...
SOLUTION: Fluid mechanics chapter 7 application - Studypool
CHAPTER 7 PYTHON FUNDAMENTAL CLASS 11 COMPUTER SCIENCE NOTES PDF CUET ...
CHAPTER 7 Application of Principles Body Mechanics | PDF | Anatomical ...
Part 7.4 | Requests Library for http Request in Python | Chapter 7 ...
Principles of Programming Chapter 7, Python Lab 7-1: Opening Files and ...
CHAPTER 7 Python Fundamentals | PDF
Chapter 7 Python Fundamentals Notes with Vishal Kumar
Class 9 Chapter 7 Python Programming | PDF
Chapter 7 - Python: Reading Techniques and Best Practices - Studocu
Chapter 7 Python | PDF | Computer Engineering | Programming Paradigms
Chapter 7 Application Layer | PDF | Domain Name System | Domain Name
Chapter 7 – Python Textbook
Chapter 7 Application Vulnerabilities | PDF | Http Cookie | World Wide Web
Chapter 8_Chapter 7 Application | PDF
Chapter 7 Application of Electronic Converters.pdf
Chapter 7 : Python Data Science most popular libraries.
SOLUTION: 9788131802663 chapter 7 process modeling 2 - Studypool
Chapter 7 : PYTHON FUNDAMENTALS1998. Which argument of print( ) would y..
Chapter 7 Application of Internet | PDF
Chapter 7 PythonStrngs | PDF
12th CS- CHAPTER 7- PYTHON FUNCTIONS- PART2 - YouTube
열역학 Chapter 7 | PDF | Fluid Dynamics | Compressible Flow
Class 7 Computer Science Chapter 1 Programming Language
Class 6 Chapter 6 Python Programming CBSE based Python Programming ...
Chapter 7 Notes.pdf | DocDroid
Chapter 7 Demand | PDF
Chapter 7 Math | PDF
Chapter 7 (Handwritten Notes) Aggregate Demand and Aggregate Supply | PDF
Chapter 1 - Introduction To Management | Download Free PDF | Business ...
Chapter 7 External Forced Convection.pdf
12th computer science chapter 7|python functions | detail answers - YouTube
Cal2 SEM 7 Volumen Capas Cilíndricas Terminado | PDF | Integral ...
Python DSA Interview Questions - 1 is a Data Structure in python? The ...
Python Fundamentals: Tokens and Literals | PDF | Parameter (Computer ...
Python Fundamentals: Multiple Choice Questions and Answers for | Course ...
Chapter 7-Python Dictionaries (1) | PDF | Data Type | Computer Data
Python - Connect 4 Programming
Exploring Science 7 End Of Unit Test 7k Answers 9k
Cal2 - Midterm - 2023 - Sample - With Answers | PDF | Functions And ...
First midterm important Q & A 12th computer science chapter-7 Python ...
TN Science - A Closer Look Grade 4 - Test Prep Workbook - PDF Room ...
Chapter 6 | PDF
Chapter 1 Inclusiveness | PDF | Disability | Poverty
Cal 2 7 | PDF
Chapter-7 PYTHON CONTROL | PDF | Control Flow | Computer Science
Chapter-7 (Python Fundamentals) | PDF | Reserved Word | Variable ...
Python Containers: Lists and Dictionaries in Module 1 and 3 | Course Hero
Cal2 - Matlab Into. | PDF
Understanding Partial Derivatives: Key Concepts and Applications ...
Adelanto - Cal2 - Clase 01 PDF | PDF
Cal2 FinalS2 August2023 With Answer Key | PDF | Multivariable Calculus ...
Cal2-Ch3: Lecture Notes on Antiderivatives & FTC - Studocu
Cal2_Chapter2_Handout2023 | PDF | Euclidean Vector | Cartesian ...
10+ Lab Instructor Resume Samples & Templates for 2025
Cal2 Assignment | PDF
Note For Cal2 KBF | PDF
CAL2-TD5 2 | PDF | Series (Mathematics) | Mathematics
Cal2 Chapter1 Handout 2023 | PDF
Chapter-7 Cost Accounting System | PDF
Lista2 Cal2 PDF | PDF
Cal2 Chapter5 Handout2023 | PDF | Integral | Mathematical Objects
Chapter7-ApplicationLayer.ppt-COMMUNICATION NETWORKS | PPT
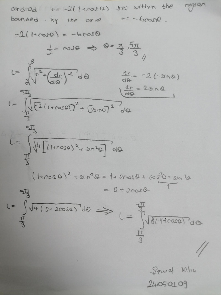
Cal2 HW3 24050109 | PDF
Cal2 Ch5 Part 3 | PDF
tài liệu cal2 | PDF
CAL2 | PDF
Cal2 Module 2 | PDF
XP 00 Cal2 E-242SV Triple | PDF | Sphere | Mathematical Physics
cal2 พี่ตูน | PDF
Cal2 Finalassignment 26020351 | PDF
np3 Cal2 | PDF
Cal2 TD1 (2020 21) | PDF | Ellipse | Differential Geometry
MEIL Cal2 Lecture13 Integrals3 | PDF | Integral | Sphere
Clase1 Cal2 | PDF
Clase3 Cal2 | PDF
Cal2 Quiz 1 | PDF
Exploring Applications of Molecular Biology in Bacterial | Course Hero
Tarea Extra Semana 5 CAL2 | PDF | Informática | Tecnología
P2021 Cal2 Final Correction | PDF
Cal2 TD2 | PDF | Calculus | Functions And Mappings
99 in 10M Cal2-201 BGVideo 04b Double Basic Domain | PDF
Subrahmanya6 presentations
Cal2 Sem2 2021 | PDF | Voltage | Inductance
Practica Cal2 Auxiliatura | PDF
Computer Science BSc Curriculum (Nov 2022) Last Updated.pdf
Cal2 M3 MC | PDF
Class 9 Science Ncert Activity Solution at Julia West blog
Cal2 Gu As I 2023 | PDF | Integral | Objetos matemáticos
Cal2 3.final | PDF
Cal2 2.10-2.11 | PDF
Cal2 | PDF
Based on this image's title: “Chapter 7 Python cal2.pdf - Chapter 7 Application Lab Instructor: Xueru ...”