Navigation graph · Hyperskill
Weighted graph · Hyperskill
Kahn's algorithm · Hyperskill
Stage implement · Drawing circles · Hyperskill
Graph traversal · Hyperskill
Stage implement · Topics to start with · Hyperskill
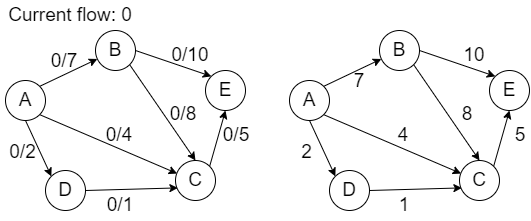
Ford-Fulkerson algorithm · Hyperskill
Dijkstra's algorithm · Hyperskill
DFS-based topological sort · Hyperskill
Kosaraju's algorithm · Hyperskill
Graph Traversal Algorithm Visualizer
GraphAV - A graph algorithms visualizer built using React and ...
HM Graph Expert - Deployed | HyperSkill User's Guide
GitHub - KarimElghamry/GraphAV: A Graph Algorithms Visualizer built ...
Graph Algorithm Visualizer | Web Development Project |Dijkstra's and ...
Java Graph Algorithms Visualizer | Java-Graph-Algorithms-Visualizer
Hyperskill on LinkedIn: Intro to Computer Algorithms and Data ...
GitHub - vsh13/AlgorithmVisualizer: Algorithm Visualizer
Graph Visualizer Project | Suhaan Bhandary
[Video] Redesigned and improved Algorithm Visualizer app | Vikash Verma ...
Animated Algorithm Visualizer For Graph Based Algorithms and Recursive ...
algorithm-visualizer · GitHub Topics · GitHub
GraphRAG Visualizer
Remembering the complexity - Kahn's algorithm - Hyperskill
GitHub - cubercsl/AlgorithmVisualizer: Algorithm Visualizer
Algorithm Visualizer Suite
Algorithm Visualizer
StructViz Explorer - Interactive Data Structure Visualizer | Learn ...
GitHub - hishamad/graph-algorithms-visualizer
GitHub - dannyh2021/algorithms-visualizer: A web app that visualizes ...
Portfolio
GitHub - mewondace/Graph-Algorithms-Visualizer
Algorithm Visualization: 7 Mind-Blowing Ways VisuAlgo Makes Learning ...
v0 App
GitHub - KartikYZ/graph-algorithms-visualizer: Visualization tool to ...
GitHub - naman114/Graph-Algorithm-Visualizer: A web app to visualize ...
GitHub - divBaral/Graph_Algo_Visualizer: Graph Algorithm Visualization
GitHub - Harman2003/Graph-Algolizer: Visualize the graph algorithms on ...
GitHub - ligabeast/Graph-Search-Algorithms-Visualizer
Graph Algorithm Visualization Tool | Devpost
GitHub - shakiralam2k18/Graph-Algorithms-visualizer
A better visualization of different algorithms made with React
GitHub - ShokaUladzislau/Graph-Algorithms-Visualizer: Java Graph ...
You Want a Fast, Easy-To-Use, and Popular Graph Visualization Tool ...
The Impact Of Visualization Techniques On Algorithm Education – peerdh.com
GitHub - RyanAlbertson/Algorithm_Visualizer: Graph search, shortest ...
visualising data structures and algorithms through animation - VisuAlgo
19 Graph Algorithms You Can Use Right Now
Graph Algorithms: The Secret Engine Behind Faster, Smarte...
GitHub - bobbymtz/graph-algorithms-visualizer
Graph Visualization Tools - Developer Guides
GitHub - VedantRathor/Sorting-Visualizer-and-Graph-Algorithms ...
GitHub - ByBus/Graph-Algorithms-Visualizer: Swing app for creating ...
graph-algo-visualizer - Codesandbox
Algorithm Visualizer: Interactive Learning Platform
Graph Algorithms Visualization | Tom Sawyer Software
GitHub - yusrida04/Graph-Algorithm-Visualizer: Graph-Algorithm ...
GitHub - elias8/algorithm_visualizer: A simple graph algorithm ...
Graph Visualization: 7 Steps from Easy to Advanced | Towards Data Science
GitHub - Brett-Constantinoff/3D-Graph-Visualization: A visualization ...
Ethan Kuo website
Algorithms 101: How to use graph algorithms
GitHub - lcjaa8/Graph-Algorithm-Visualizer: This web app shows how the ...
GitHub - JacobDDoS/Graph-Algorithm-Visualizer: This is another ...
Ford-Fulkerson Algorithm Hyperskill-Analysis | Download Free PDF ...
Graph Algorithms Visualization - YouTube
GitHub - razvanborsan/graph-traversal-visualizer: An app that builds ...
Graph algorithms are used in many real-world scenarios. Here are 5 ...
Depth First Search (DFS) Algorithm | Graph Traversal | Visualization ...
GitHub - pshashank083/Algorithm-Visualizer
GitHub - Harsh-1000/Project-Algorithm-Visualizer: Interactive Online ...
GitHub - Sorting-Algorithm-Visualizer/Algorithm-Visualizer ...
GRAPH ALGORITHMS VISUALIZER// **PLEASE USE EARPHONES!!** - YouTube
What is Hyperskill? | Online programming platform for project-based ...
GitHub - ColeStrickler/GraphAlgorithmVisualizer: An application for ...
Portfolio - Home
GitHub - KyleGough/graph-algorithm-visualiser: A visualiser which ...
Visualising Algorithms with a Click - NUS Computing
Algorithm-visualizer
Algorithm Visualization Techniques For Performance Analysis – peerdh.com
GitHub - Ritik-Arora-576/Graph-Algorithms-Visualizer
An Interactive Visualisation for your Graph Neural Network Explanations ...
GitHub - gargmitul28/Algorithm-visualizer: this project is made to ...
GitHub - ayush-tiwari57/Algorithm-Visualizer: Visualize working of ...
15 Best Graph Visualization Tools for Your Neo4j Graph Database
GitHub - CinatitBR/amazing-pathfinding-visualizer: A real-time ...
Guide to Creating Knowledge Graph Visualizations
Discover Powerful Graph Visualizations for Social Networks and Machine ...
GitHub - payush890/Path_Visualizer: A web based graphical visualization ...
Dijkstra's Algorithm: Shortest Path in Weighted Graphs Explained with ...
Based on this image's title: “Graph-Algorithms Visualizer · Hyperskill”