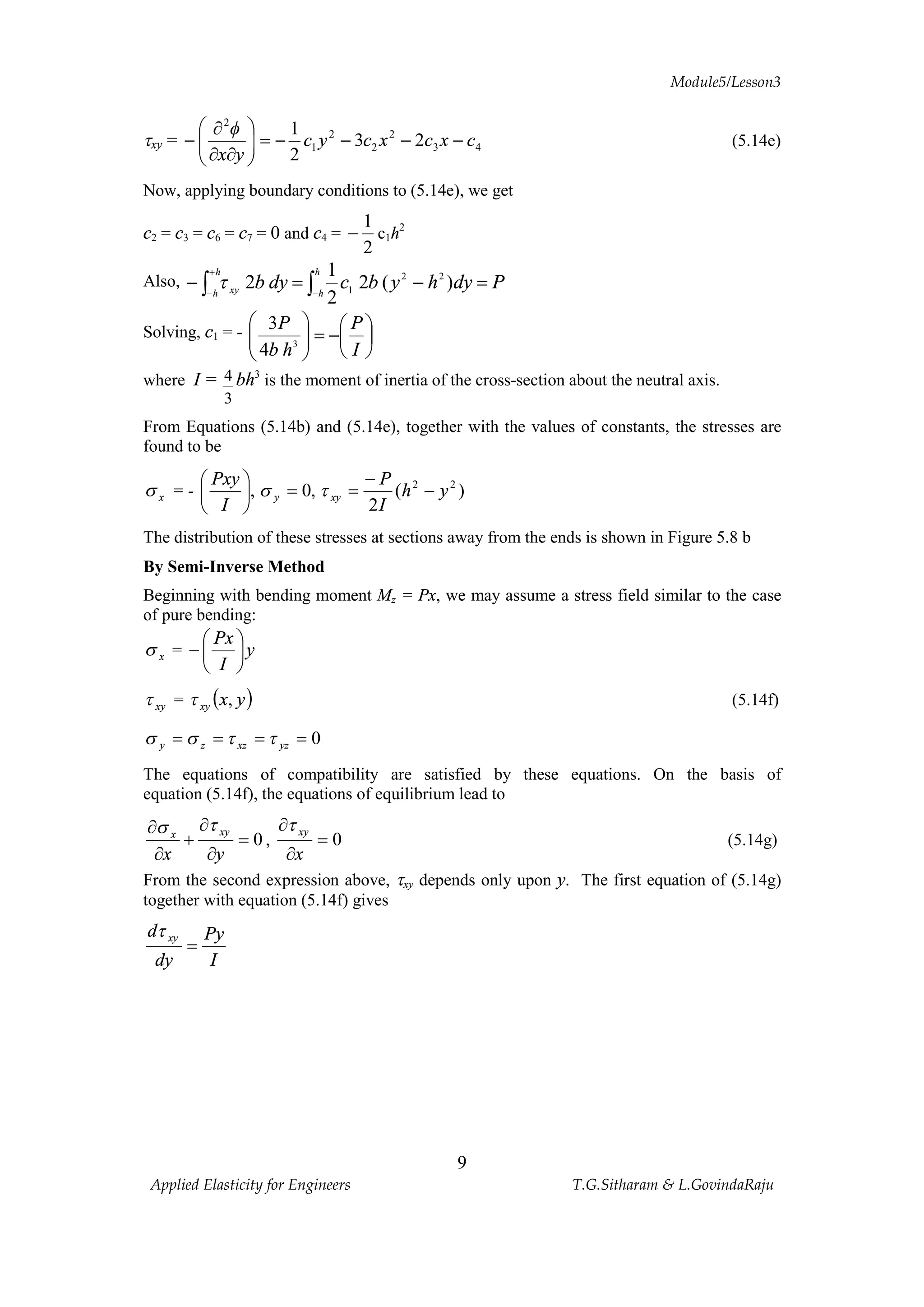
Programming and Problem Solving Module5 | PDF | Graph Theory ...
Programming and Problem Solving Module2 | PDF | Pointer (Computer ...
Hsslive-XI-CS-Chap4-Principles of Programming and Problem Solving | PDF ...
Python Programming and Problem Solving | PDF | Class (Computer ...
W1L2 Introduction Programming and Problem Solving | PDF | Computer ...
Programming and Problem Solving Through Python A3-R5 | PDF | Subroutine ...
Programming and Problem Solving | PDF | Python (Programming Language ...
Matlab: A Practical Introduction to Programming and Problem Solving | PDF
Programming and Problem Solving | PDF
1 - Overview of Programming and Problem Solving | PDF
Programming and Problem Solving Study Notes | CS 110 - Programming and ...
Module5 Questions Answers | PDF | Pointer (Computer Programming ...
M2 Dynamic Programming - 0-1 Knapsack Problem | PDF | Mathematical ...
Fundamentals of programming and problem solving | DOCX
CSSD 101 Programming Problem Solving | PDF
STS - MODULE5 - Technology Humanity and The Future PDF | PDF | Robot ...
FSD Module5 ReactJS Part15 | PDF | Computer Programming | Software ...
C++ Programming for Problem Solving | PDF | Programming | Computer Program
BME21VS02 Programming and Problem Solving Laboratory - 1: Vocational ...
Buy Programming And Problem Solving With Python|2nd Edition Book Online ...
Department of First Year Engineering Programming and Problem Solving ...
[PDF] GE3151 Problem Solving and Python Programming Notes PDF Download
Module5 Chap2 | PDF | Pointer (Computer Programming) | Computer Programming
CSC 113 Computer Programming - Week 1 | PDF | Computer Program ...
python programming using problem solving approach reema thareja pdf ...
Problem Solving | PDF
Understanding Classes and Objects in Python | PDF | Method (Computer ...
module5 | PDF | Computer Program | Programming
PROGRAMMING AND PROBLEM SOLVING (Course Code : 110005) eBook : NITIN N ...
Speed Time Graphs Worksheet | Fun and Engaging PDF Worksheets ...
Adding 3 (50 questions) | Fun and Engaging 1st Grade PDF Worksheets ...
Hsslive-XI-Comp-app-03 Principles OF Programming AND Problem Solving ...
Module5 structures | PDF | Pointer (Computer Programming) | Integer ...
Arduino Labs for Engineering Students | PDF | Analog To Digital ...
01 - Programming Problem-Solving | PDF
O Level Module 3 M3 R5 Programming & Problem Solving Through Python ...
SOLUTION: Principles of Programming and Problem Solving - Studypool
Python Programming Lab Exercises | PDF
Module5 Ap Q1 | PDF
Module5 Esp9 Q3 | PDF
Module5 Document | PDF
3. Problem Analysis | PDF
FSD Module5 PPT | PDF | Ajax (Programming) | J Query
CE06-MODULE5 - Slope and Deflection - Double Integration Method | PDF
Hossafe Module5 | PDF
Exercise 5 - Module5 | PDF
Using LLMs for Semantic Routing with Ollama and Qwen | by Giacomo Carfì ...
Gold Solutions O Level MCQs+Solved Papers Programming And Problem ...
PPT - $PDF$/READ MATLAB: A Practical Introduction to Programming and ...
Immediate Access C Programming From Problem Analysis To Program Design ...
웹용 Pdf 파일 아이콘의 현대적인 평면 디자인 | 프리미엄 벡터
Dbt Problem Solving Worksheet Editable Fillable Printable Pdf
(PDF) PROMOTING STUDENTS’ CRITICAL THINKING & PROBLEM SOLVING SKILLS ...
Math 9 Q1 Module5 Illustrating Quadratic Inequalities Solving Quadratic ...
Descargar Libros De MATLAB® En PDF | El Solucionario
3 Best Ways to Remove the Signature Field from PDF | UPDF
スキャンした PDF をまっすぐにするには? (3 つの簡単な方法) | [Official] UPDF
PDF Viewer | Figma
ADHD To-Do List & Example | Free PDF Download
February 2026 Calendars | 40 Free Printable PDF
Gottman Method Worksheet & Example | Free PDF Download
Form Application Withdrawal From General Provident Fund GPF | PDF
1st Grade Math Worksheets PDF | Printable Math Worksheets
BIT 1400 - Assignment 6 - BIT 1400 – Introduction to Programming and ...
온라인 무료 PPT PDF 변환기 | Canva(캔바)
ipysigma — Easily visualize networks with thousands of nodes and edges ...
Pdf Mit 180 Zentangle® Mustern Zum Ausdrucken Pdf How To Convert pdf ...
Windows 11 | How-To Geek
(PDF) CREATIVE THINKING AND PROBLEM-SOLVING: CAN PRESERVICE TEACHERS ...
Bareilly Voter List PDF (Uttar Pradesh SIR 2026) Download & Search Name ...
Foods to Lower Cholesterol Guide/ Chart, 2 Page Pdf PRINTABLE DOWNLOADS ...
programming and cyber secuirtyyy -1.pdf
How to Convert PNG To PDF? Step by Step Guide | UPDF
PDFファイルのアイコンが変わってしまった | 流科サービス
Free Medical Templates for Healthcare Professionals | Carepatron
MEC_803_Part_2-Two_Dimensional_Problems_in_Cartesian_Coordinate_System ...
A Guide to Increasing Problem-Solving Skills in Kids (with Examples)A ...
Pdf Cursive Abcs
“Cheat Sheets” for PDF, for free! – PDF Association
Pdf Icon 24x24
How to Add Pages to a PDF in Adobe Reader [Full Guide] - EaseUS
Click Here for a Sample PDF Quickly- WPS PDF Blog
Be - First Year Fe Engineering - Semester 1 - 2024 - October ...
PDF to PNG Converter – Free & No Sign-up
How to Create PDF from HTML on Windows
Ds 160 Form Sample ≡ Fill Out Printable PDF Forms Online
Free Fishbone Diagram Templates, Editable and Downloadable
How to Convert InPage to PDF (3 Simple Solutions)
How To Make A Google Docs File Into A Pdf at Brayden Cooke blog
Convert IPYNB to PDF with 4 Excellent Ways [Simple & Practical]
Convertir PDF a Word Fácil: Online, PC y Móvil Sin Errores
How to Edit PDFs Using Microsoft Edge's Built-In PDF Editor - Guiding Tech
Kompres PDF Menjadi 90 KB Secara Online! (Gratis)
Download Chart Pattern Cheat Sheet PDF - Essential for Stock Trading
About Us - Learn more about the team behind the product - PDF Guru
DD Form 114 2023-2024 - Fill Forms Online - PDF Guru
Form 5 Birth Certificate ≡ Fill Out Printable PDF Forms Online
[Available] [Solution Manual] MATLAB: A Practical Introduction to ...
Calendarios Anuales 2026 Stranger Things en PDF [GRATIS]
Free Printable Glycemic Index Food Chart PDF - Printables for Everyone
Images Into Pdf Free
Hoist Inspection Checklist PDF Form - FormsPal
Resize image for TikTok online for free
Master the 7-Step Problem-Solving Process for Better Decision-Making
5 Proven Problem-Solving Methods You Need To Know
5S Audit Trend Template » (Free Excel + Example)
Cheat sheet of routes on graphs (Graph theory) - Mathematics Stack Exchange
Best Goal Setting Examples at Carolann Ness blog
3 Printable ABC Tracing Worksheets (PDF Downloads)
Cognitive Distortions (PDF & Editable PPT) - Etsy
Free Printable 2025 Pink Calendar Templates - The Incremental Mama
Printable Feelings Chart for Kids (PDF Download)
Termination After Performance Improvement Plan - Infoupdate.org
Daily Gratitude Journal Templates - 22 FREE Positivity Diary
5 Generation Family Tree Templates - prntbl.concejomunicipaldechinu.gov.co
unit-1 jntuk r23computer programming.pdf
38+ Free Business Memo Templates & Examples
23 Printable Mindfulness Worksheets for Adults in 2024 - Happier Human
Based on this image's title: “Programming and Problem Solving Module5 | PDF | Graph Theory ...”