JAVA Important Questions and Answers - CS101 Final Exam Review - Studocu
Java Programming 101 - Final Exam Review and Practice Questions - Studocu
Final Exam Review Questions for Virtualization (CS101) - Studocu
2025 CS101 Final Exam Practice Questions and Review Problems - Studocu
Java QA: Code Questions & Answers for CS101 Final Exam - Studocu
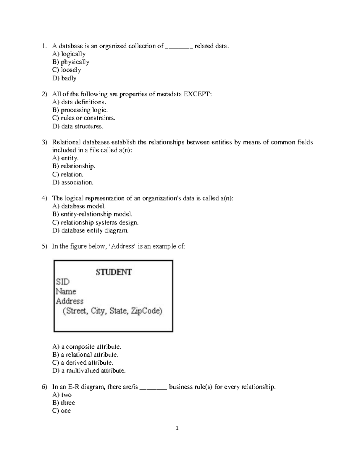
Final Exam Review Questions (Page 2 of 2) for CS101 - Studocu
Java CS101 Unit-wise Important Questions for Exam Review - Studocu
Computer Science MCQ Review Notes - CS101 Final Exam - Studocu
Final Exam Notes: GUI Event Handling in Java (CS101) - Studocu
Final Exam Sample Questions & Answers for DBMS (CS101) - Studocu
Final Exam Revision - MCQ on Database Concepts (CS101) - Studocu
Operating Systems MCQ Review for CS101 Final Exam Preparation - Studocu
CS101: Java Programming Cheatsheet - Final Exam Review - Studocu
Final Exam Review: OOP & GUI Development in Java (CS101) - Studocu
Final Exam Review for CS101: Key Concepts & Questions - Studocu
CS 101 - Final Exam Review Questions & Answers - Studocu
Web App Dev (CS101) Final Exam Review Notes - Studocu
Final Exam - Algorithm Questions (CS101) - Studocu
Final Exam Questions for Database Systems (CS101) - Studocu
Java MCQ Exam Questions - Course Code: CS101 - Studocu
Neural Networks MCQ Review Sheet - CS101 Final Exam - Studocu
Java OOPs Concepts: Questions & Answers for CS101 Final Exam - Studocu
Computer Architecture Questions - CS101 Final Exam Review - Studocu
C101 FINAL EXAM REVIEW QUESTIONS - 2024 Edition - Studocu
Java (CS101) Important Questions for Exam Preparation - Studocu
Software Engineering MCQ & Short Answer Review - CS101 Final Exam - Studocu
CS101: Final Exam Study Guide for Java Programming Concepts - Studocu
CS101 Final Exam Long Questions Compilation and Key Concepts - Studocu
Java Question Bank: Concepts & Programs for CS101 Final Exam - Studocu
Java Detailed Exam Notes (CS101) - Units 1 & 2 Overview - Studocu
Final Exam Practice Questions for CS101 - Studocu
Multiple Choice Questions for Course Code: CS101 - Final Exam Review ...
Final Exam Review: Computer Architecture Concepts (CS101) - Studocu
Operating Systems (CS101) Unit 1 Review Questions & Answers - Studocu
Final Exam Study Guide for CS101: Comprehensive Review Notes - - Studocu
Final Exam Questions for CS101 (2013-2025) - Studocu
Java (CS101) - Essential Interview Questions and Answers Guide - Studocu
CS101: Final Exam Review Notes on Key Concepts - Studocu
JAVA FINAL PRACTICE EXAM SOLUTIONS PART 1 (ANSWERED) - Studocu
Final Exam Review: OS Concepts & Scheduling Policies (CS101) - Studocu
Practice Questions for Final Exam in CS101 - Studocu
Java Functions Questions for Programming Course (CS101) - Studocu
Final Exam Questions for CS101: Kotlin & iOS Development - Studocu
Final Exam Review Notes for CS101: Understanding Price Elasticity - Studocu
Final Exam Study Guide for CS101: Key Concepts & Review Tips - Studocu
Final Exam Review for CS101: Key Topics & Study Guide - Studocu
Final Exam Sample Problems & Answers (CS101) - Studocu
Java OOP Concepts and Notes for CS101 Final Exam - Studocu
Final Exam Review for Asymptotic Analysis Concepts (CS 101) - Studocu
OOP Sheet - Questions and Answers for CS101 Final Exam - Studocu
Final Exam Review for CS101: Key Concepts & Visual Aids - Studocu
Unit Test Questions for Java Programming (CS101) - Studocu
Final Exam Review - CS101: Intro to Computer Science Concepts - Studocu
Chapter 1 Review Questions (CS101) - Data Management Concepts - Studocu
Final Exam Prep Guide for CS101: Key Concepts & Review - Studocu
Constructor Practice Questions for Java Programming (CS101) - Studocu
Java - Exam Notes for Intelligent Consumer Devices (CS101) - Studocu
Java Conditional Statements Questions (CS101) - Studocu
Java I/O Techniques and Arithm Testing - CS101 Final Exam Notes - Studocu
Final Exam - Software Development Concepts and Practices (CS101) - Studocu
Final Exam Notes for Data Structures (CS101) - Studocu
Review MCQ - CS101: Accessing Class Variables & Functions - Studocu
Java MCQs-1 Solutions (CS101) - Studocu
CS101 Final Term Exam Sample Paper Spring 2025 - Studocu
Output Questions on Java Operators - CS101 - Studocu
CS101 Final Exam Review: Key Concepts and Applications - Studocu
CS101 Review Questions and Answers on Programming Concepts - Studocu
CS101 Chapter 1 Review Questions and Answers Summary - Studocu
SAMPLE MCQ: Java Fundamentals & OOP Concepts (CS101) - Studocu
Linux Questions: Comprehensive Review of 10 Years (CS101) - Studocu
Final Exam Study Guide for CS101: Intro to Computing Concepts - Studocu
Data Link Layer MCQs - CS101 Final Exam Guide - Studocu
JAVA EXAM Final WITH Answers Stared OR Filled - Part I. Multiple Choice ...
CS101 Final Exam Prep: Comprehensive Guide to All 234 Modules - Studocu
Sample Exam Questions for CS101 - Set B (Closed Book) - Studocu
Java Method Practice Questions for CS101 - Studocu
CS101 FINAL EXAM QUESTIONS AND CORRECT ANSWERS 2025 - CS101 - Stuvia US
CS101 Introduction to Computing Final Term Exam Spring 2005 - Studocu
Final Exam Study Guide for CS101: Intro to Computer Science - Studocu
Chapter 2 Review Questions for CS101: Computer Systems Overview - Studocu
Final Exam CS101: Dynamic Programming Coin Change Problem - Studocu
CS101 Midterm and Final Exam Review 2022 - CS 101 Midterm and Final ...
Review of Chapters 1-3: Key Concepts & Quiz Questions for CS101 - Studocu
CS101-MCQs Final Term Study Guide by Muzaffar Iqbal - Studocu
Final Exam Review for CS101: Key Concepts and Practice Questions ...
CS-101 Multiple Choice Questions: Comprehensive Review Guide - Studocu
CS101: Week 1 Quiz - Java Programming Concepts and True/False Questions ...
CS101 Final Review: Cryptography and Security Protocols - Studocu
Exam June 2018, questions and answers - CS101 All Past Solved Mid Term ...
CS101 Final Review: Matrix Operations and Function Implementation - Studocu
Java Programming Final Exam Review | PDF | Method (Computer Programming ...
Java Question Bank - CS101: Comprehensive Study Guide - Studocu
CS101 Review Quiz Attempt Results - Studocu
CS101 Final Exam: Question 1 Solution on Keystream Encryption - Studocu
CS101 Final Quiz with Solutions - Fall 2020-21 - Studocu
CS101 Midterm MCQs from Module 1 to 28: Comprehensive Review - Studocu
CS101 MCQ with 100% Correct Answers, Final term preparation - YouTube
Final Exam Review Guide for CS101: DNA and Invasive Species Insights ...
CS101 Quiz-3 By Informative Corner - CS-101 Final Term File ...
Cs101 Final Solved MCQ-2 - CS101 INTRODUCTION TO COMPUTING FINAL TERM ...
CS101 Final Term MCQs by waqar Siddhu - Computer science - DOWNLOAD ...
CS101- Final TERM Solved MCQS - CS101 Introduction to Computing FINAL ...
CS101 Solved MCQs Final Term By Junaid - CS101-Intruduction to ...
15 - None - CS101 Final term Solved MCQ’s & Subjective Question No: 1 ...
CS101 Solved MCQs Midterm Exam 2013 - CS101 Introduction to Computing ...
Final Exam Review Notes for CS101: Nutrition and Health Connections ...
CS101 Solved MCQs Final TERM BY Junaid - 1. The result of - step in the ...
CS101 Use Case Multiple Choice Questions for Final Exam Preparation ...
6 - cs101 mcqs files final term - SOLVED & SHARED BY SILENT LIPS ...
SOLUTION: Cs101 final term solved mcqs - Studypool
CS101 Certificate Final Exam Attempt Review Saylor Academy | PDF
CS101 100 Solved Midterm MCQ’s 1 - CS101 -100 SOLVED MCQ’s Question No ...
CS101 Latest MCQs Covering lecture 1-40 - vuzs groups.google/group.vuzs ...
CS101-Final Term Paper solved 5 - Question # 1 of 10 ( AM ) Start time ...
Java Practice Material: Interview Questions & Key Concepts (CS101 ...
CS101 Solved MCQs for Final Term | Virtual Study Solutions
CS101 Final Term MCQs by Junaid | PDF | Computing | Computer Engineering
9.-download cs101-final-term-solved-papers-with-reference-.doc ...
Based on this image's title: “MCQ - Java (CS101) Final Exam Review Questions - Studocu”