Python Password Generator🔒: Create Strong and Random Passwords | Code ...
Python Password Generator: Create Strong Passwords in Minutes - YouTube
How to Create Strong Passwords and Manage Them Easily – Computer ...
How to create strong passwords you can remember easily - The Money ...
Create a Strong Password Generator in Python
Create a Strong Password Generator in Python - PySeek
Create a Password Generator using Python | by Rahul Patodi | DataFlair ...
Password Privacy: How To Create And Remember Strong Passwords
Online Password Creators Free: Create strong but easy-to-remember passwords
Use Norton Password Generator to create strong passwords
Create Random Password Generator in HTML CSS & JavaScript | Strong ...
Create a simple password generator in Python - Networkwalks Academy
ساختن برنامه ایجاد پسورد با استفاده از پایتون - Python Password ...
Simple Password Generator In Python With Source Code - Source Code ...
Create Random Password Generator Program Using Python
10+ Best Generators to Create Unique and Strong Passwords - RelyPass
Create a Strong Password for Your Business | SRS Networks
How to Create a Strong Password in 7 Easy Steps - Keepnet
Free Password Generator - Create Strong, Random Passwords
How to Create a Strong Password (+Commit It to Memory)
Project 1 - ProjectDescriptiveStatistics | PDF | Histogram ...
CMIT 351- Project 1- Herrera. docx (Corrected) - CMIT 351 Project 1 ...
#56 AO Racing + Project 1 BTR Logistics at Monza by Patryk A. - Trading ...
Changing Passwords? Here is How to create strong passwords
IT 145 Pseudocode for project 1 ( Offemaria) - 1-6 Milestone ...
CSE306: Spring 2019 OSP2: An Operating System Project Project 1 ...
Excel Project 1 – MS Excel Use the project description HER.docx ...
Project 1 cs210 - /* **************************** Name: * Date: * Class ...
SOLUTION: Project 1 guide lab 1 overview general chemistry i chem 151 ...
ICT PROJECT 1 Lesson One | PDF | Project Management | Software ...
Random Password Generator — Generate Strong Passwords
Project report Entrepreneurship Project 1 - 2022-2023 Even | PDF ...
SOLUTION: Class 11 accountancy project 1 comprehensive problem CLASS 11 ...
Build a Python Password Generator App (Step-by-Step)
Simple Password Generator | Python Tutorial - YouTube
Let’s see wifi password using python | by Ashish Pandey | Towards Dev
Random Password Generator in Python | Scaler Topics
Password cracker using python – Artofit
Create Python BMI Calculator
How to Create Strong, Unique Passwords - RelyPass
GUI Password Generator Using Python - CodeWithCurious
Create Your Own Python AI Chatbot
How To Create A Strong Password: A Step-by-Step Guide | FBI John
How to create a secure password - Norton
Mastering the Code: From Scratch to a Strong Password
9 Ways For Generating Strong Password Ideas
How to Create a Strong Password: Guide & Examples | Cybernews
Project 1 Part 1 | PDF
Project 1 Final Oral Test | PDF
Project 1 Unit 3 Test#3.pdf
20 Strong Password Examples
Project 1 | PDF
Project 1-AO chooses signature "Rexy" livery for its Porsche | 24h ...
Satyam Das - 9 - A - Eng Lang - Project 1 | PDF
Strong Password Generator Top 10 Rating: The Best Password Generators
Capstone Project 1 | PDF | Methodology | Literature Review
5 Essential Tips for Creating Strong and Secure Passwords
How to create secure passwords - Which?
Maths Project 1 | PDF
Project 4 - Song 99 Bottles of Beer On The Wall Project-1 | PDF ...
Example Of Password With Letters Numbers And Special Characters at ...
MAT 104 Excel Project 1 Guidelines | PDF
Strong Password Generator
Project 1 Unit … | Free Interactive Worksheets | 4204062
Using Strong Passwords
Python program to check password strength
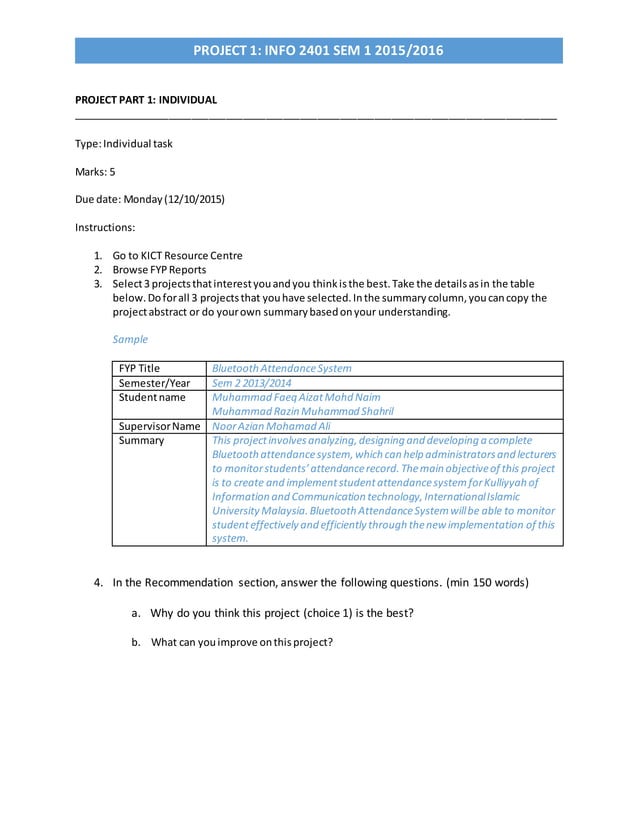
Project 1 instructions | DOCX
Online Agriculture Product Store Project | PDF | Software Development ...
Project 1 brief | PDF
SEM 4 : STUDIO PROJECT 1 BRIEF | PDF
Project Management Project 1 Report | PPT
SOLUTION: Juan munoz biology project 1 - Studypool
Chemistry project front cover design👀 | Creative book cover designs ...
CMU 15-445 Project #1 - Buffer Pool(Task #3 - Buffer Pool Manager ...
Chapter 4 Defining The Project 1 PDF | PDF
Capston Project 1 Part 1 | PDF
Enable/Disable Suggested Strong Passwords in Microsoft Edge - MiniTool
Building Science Project 1 Brief | PDF
Why Strong Passwords are Important
Summer Internship Project 1 | PDF | Cargo | Logistics
Itco 620 unit 4 project 1 | DOCX
Chemistry project 1 | PDF
Strong Password Generator net
Project Explore 1 TR Tests Unit4 | PDF | Rowing (Sport)
Enapi Coffee Project 1 | PDF
6552571 | Project 1 Unit 5 TEST | Jana Houdková
CMIS 320 Project 1 Write a justification paper, of at leas | PDF
Create-a-Random-Password-Generator-using-Python | by Dinithi Nethmini ...
GitHub - Borysdb/Project_1_Password_Generator_in_Python: We were sad to ...
Password Generator Password Policies
Making A Password Gor The Dos And Donts
Project 1-AO Porsche to Run ‘Rexy’ Livery at Le Mans – Sportscar365
Creating And Managing Passwords Intelligently
Norisring (GER), 7-9 July 2023. DTM, ADAC, Nürnberg, #11 BMW M4 GT3 ...
GitHub - ssh-juan/python-password-generator: 🐍 This repo contains a ...
Computer Project (1) Term 2 | PDF | Art
9 Free Excel Project Management Templates & Examples
Free Project Cover Page Templates to Edit Online
SEM 4 : STUDIO PROJECT 2 BRIEF | PDF
English 1 - Assignment 1 | PDF
Chemistry project for Class 12 | DOCX
Geography project – Artofit
investigatory project casein Chemistry final | PPTX | Chemistry | Science
English coverpage Design idea | Boarders designs for projects, File ...
chemistry project (1).docx | Oral care | Personal Care
How secure is my password? A guide to staying safe online | 1Password
mercedes suv hybrid 2025 review and specs leaked
How to Prevent Your Facebook Account From Getting Hacked - Tech Pilipinas
Accounting Semester Project-1 FINAL | PDF | Debits And Credits | Expense
Based on this image's title: “Python Password Generator: Create Strong Passwords Easily || Project 1 ...”