Assignment 3 - CST 8284.pdf - Object Oriented Programming JAVA CST 8284 ...
Experiment NO 3 - Object oriented programming E & TC - Assignment No ...
Assignment No. 3 - Advanced Java Programming Chapter No Networking ...
assignment3.pdf - Assignment 3 Object oriented program Read Section 1 ...
Assignment 3 OOPJ(BCS403) - Assignment 3 Object Oriented Programming ...
Assignment 3 - helpful for object oriented programming - Object ...
Object Oriented Programming - Programming Assignment 3 | COP 3330 - Docsity
OOPS with Java Unit 3 - Object Oriented Programming in JAVA Lab ...
Oops Assignment No 1 Solutions 3 | PDF | Object Oriented Programming ...
Object Oriented Programming through JAVA - JAVA ASSIGNMENT 1 BY TISHA ...
Assignment 01A.doc - Object Oriented Programming Java I PROG 10082 ...
JAVA Assignment.pdf - Object Oriented Programming in Java - Assignment ...
Java assignment - Object Oriented Programming With Java Laboratory ...
assignment 1 august 2021 java code for assignment - Object Oriented ...
Java Assignment 3 | PDF | Software Engineering | Object Oriented ...
Object Oriented Programming Assignment 3 | PDF | Programming Languages ...
Section 3 - JAVA Programming The Objected Oriented Approach | PDF ...
Object Oriented Programming with Java - MODULE 3 - BCS306A | PPTX
Assignment 1 10.docx - Assignment 1: Object Oriented Programming in ...
Object Oriented Programming in JAVA - EHR Assignment | Course Hero
2.pdf - Object Oriented Programming Assignment 02 Submitted to ...
oop assignment 03.docx - OBJECT ORIENTED PROGRAMMING NAME: ASGHAR-KHAN ...
Java Assignment 3 - Important Concepts and Key Features Explained - Studocu
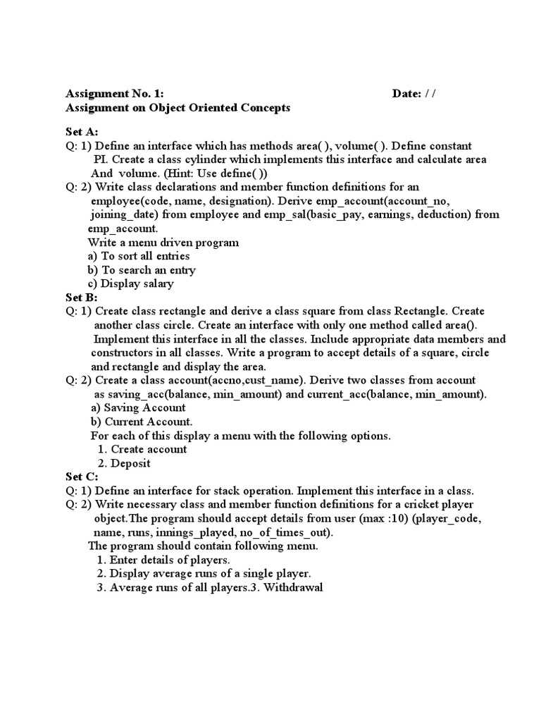
Assignment No. 1: Date: / / Assignment On Object Oriented Concepts Set ...
Java - Assignment 3 | PDF | Computer Data | Computing
assignment2 - Assignment 2 Object oriented program Read Section 1 to ...
Oop assignment 03-220816084408-31777 b73 - Object Oriented Programming ...
Object-Oriented Programming A3 - Assignment 3 public class Rect ...
Object-Oriented Programming - Java 3 .pdf - Object-Oriented Programming ...
Assignment.docx - Assignment-1: Object Oriented Programming using JAVA ...
Java Object Oriented Programming Assignment | PDF | Class (Computer ...
Object-Oriented Programming Assignment 2 (61FIT3PR2) - Java Development ...
NPTEL Java Programming Assignment 3 | PDF | Method (Computer ...
Assignment JAVA 2.docx - Assignment-2 1. What are the three principles ...
Object Oriented Programming - Assignment 2: "Java Doc" - YouTube
UML of Assignment 3,4 Object oriented programming - CUI - Studocu
Solved CSE 205: Object Oriented Programming Assignment 3 | Chegg.com
OOPS Assignment No 2 | PDF | Software Engineering | Object Oriented ...
SOLUTION: Object oriented programming language assignment - Studypool
JAVA ASSIGNMENT - 1.docx - JAVA ASSIGNMENT-1 BHAWIK JAIN 8528 Q1 ...
Assignment 2 | PDF | Object Oriented Programming | Java (Programming ...
Java Assignment.docx - Assignment#2 Object Oriented Programming Fawad ...
Object-Oriented Programming Assignment One.pdf - Object-Oriented ...
Object Oriented Programming 1 (JAVA) Assignment 1: Follow The Name of ...
SOLUTION: Object Oriented Programming in Java Exercises - Studypool
Assignment 1 - ... - Assignment: Object-Oriented Programming Exercise 1 ...
Object Oriented Programming Assignment No. 2 | Chegg.com
Java Assignment 3 | PDF
PROG10082-AssignmentStatements.pdf - PROG10082 Object Oriented ...
Object Oriented Programming - JAVA
Object Oriented Programming Assignment Chapter One's Exercise Answer ...
SOLUTION: Object oriented programming java worksheet - Studypool
21F CST8284 450 Assignment #5 .docx - Course code and name Assignment ...
Object Oriented Programming Assignment | PDF
Java Object-Oriented Programming Assignment | PDF | Class (Computer ...
Core Java Assignments Lab 3 | PDF | Method (Computer Programming ...
Object Oriented Programming Assignment 4 | PDF
SOLUTION: Object oriented programming using java active learning ...
Java OOP Assignment Questions | PDF | Method (Computer Programming ...
Solved Object Oriented Programming Lab. Assignment 2 | Chegg.com
Object Oriented Programming Assignment 1
Java Programming Assignment Help | Java programming, Assignments ...
Object Oriented Programming Assignment 1 | PDF
Object Oriented System Development Using UML, Java And Patterns (NPTEL ...
Assignment No.3 Final | PDF | Constructor (Object Oriented Programming ...
Week 1 - Assignment.docx - Description of object-oriented Java ...
MCS-024 Object Oriented Technologies and Java Programming Solved ...
Core Java Assignments Lab 2: String Assignment | PDF | String (Computer ...
Java Assignment Sample: Building Software with Objects, Graphics ...
ProgrammingAssignment3.pdf - Lists - 1 Data Structures in Java ...
Programming IN JAVA LAB Assignment-3 - PROGRAMMING IN JAVA LAB ...
Java OOP Assignment Error Analysis | PDF | Class (Computer Programming ...
JAVA ASSIGNMENTS 1 AND 2.docx - Briefly explain the differences between ...
SOLUTION: Object Oriented Programming with Java Lab Exercises and ...
NPTEL Java Assignment Overview 2024 | PDF | Class (Computer Programming ...
Java Assignment-3 (Programmes) | PDF | Computer Programming | Object ...
Java Objects Assignment | PDF
E3.pdf - Manisha Mali 2020btecs00202 Programming Laboratory-I ...
Object Oriented Programming (JAVA) Assignment: Patients' Health ...
Do object oriented programming assignments in java by Uzama_zaid | Fiverr
Object Oriented Programming with JAVA | PDF
COMP155-Assignment 2.docx - Fall-2020 Semester COMP 155 Object-Oriented ...
Object Oriented Programming Exercises 1 | Integer (Computer Science ...
OOP Lab3 - Object-Oriented Programming Lab 3: Class and Arrays1 This ...
Object Oriented Programming using JAVA Notes | PDF
Object-Oriented Programming Assignment | PDF | Method (Computer ...
COMP155-Assignment 3.docx - Fall-2020 Semester COMP 155 Object-Oriented ...
Java Refresh Exercises Object Oriented Programming with Java
GitHub - IvgeniDv/Introduction-to-java-and-object-oriented-programming ...
Solved Object Oriented Programming JAVA (a) Draw a student | Chegg.com
Object-Oriented Programming Assignment 2 | PDF
Solved Object-Oriented Programming Assignment 1 In this | Chegg.com
Solved Object-Oriented Programming Assignment 1 1. In the | Chegg.com
Assignment#03 | PDF | Java (Programming Language) | Constructor (Object ...
Java Programming Assignments | PDF | Method (Computer Programming ...
Object Oriented Programming | OOP Principles Explained With Example.
Java Programming Assignments Overview | PDF | Constructor (Object ...
Object-Oriented Programming: Polymorphism - ppt download
Lab Instructions N Core Java Assignments | PDF | Programming ...
Java_CH3_Exercise | PDF | Constructor (Object Oriented Programming ...
Successfully completed 😊11 challenging Java programming assignments🎯 ...
Solved Object-Oriented Programming with JAVA Instruction: | Chegg.com
Learn Java Object-Oriented Programming: Classes, Objects, and | Course Hero
Object-Oriented Programming in Java: Concepts and Fundamentals | Course ...
Java Programming Assignment: Object-Oriented Concepts
Java Programming Assignments Guide | PDF
Java Assignment-3 | PDF | Computers
Java OOP Assignment: Concepts & Programming
Implementing Object-Oriented Programming in Java: Classes & | Course Hero
Based on this image's title: “Assignment No 3 - Java Programms - Assignment No. 3 On Object Oriented ...”