From C to Rust (Part III). Fundamental Data Structures: struct… | by ...
From C to Rust (Part II). Preprocessor and Pointers | by TechExplorer ...
Tutorial: Moving Your CUDA Code from C to Rust | by Oleksii Savochkin ...
🦀 Rust vs C in 2025: The Real Talk Every Developer Needs to Hear | by ...
TRACTOR: Automating the Transition from C to Rust for Security ...
Getting Started with Rust: A Beginner’s Guide to Rust Basics | by ...
Write from simple to advanced socket programming with Rust (Part III ...
Effortless Guide to Setting Up AWS Lambda with Rust | by Jed Lechner ...
Week 1, Day 2: Comprehensive Overview of Rust Data Types | by Arctic ...
Mastering Fundamental Data Structures: A Researcher's Guide to ...
[论文评述] LLM-Driven Multi-step Translation from C to Rust using Static ...
How To Start Building Your Own AI Tools With LangChain | by Sartaj ...
99 problems to understand Rust — Part 1 | by Enigma Bits | Stackademic
The Power of Option Type in Rust (Tutorial 21/100) | by Giorgio ...
Channels in Rust. Part 1. Rust has got a powerful feature called… | by ...
Integers in Rust. u8, i32, usize, i64, … Integers can be… | by Rust ...
The Linux Kernel Data Structures Journey — “struct thread_struct” | by ...
Risk of Rust — System Programming | by Ulrik Thyge Pedersen | Level Up ...
Understanding Web Extensions: A Gateway to Enhanced Browsing | by ...
Shining Through: Easy Techniques on How to Remove Rust from Metal ...
Fundamental data structure | PPTX
The Digital Insider | What is Data Structure: Types, Classifications ...
Stacks. Data Structure | by Ting | Medium
Fundamental data structures in NEST. Data structures on MPI rank 0 for ...
Comprehensive Guide to Data Structures in Java | Data-Structures-in-Java
(PDF) Ownership Guided C to Rust Translation
254 - Assignments/Labwork - Lab Assignment #1 – Using Fundamental Data ...
Rust in my (data) pipeline | by Petrica Leuca | Dev Genius
Rust Multithreading: A Comprehensive Guide | by Tech Savvy Scribe | Medium
Introduction to Rust — Part 1. As a machine learning engineer focused ...
Introduction to Graph Neural Networks with NVIDIA cuGraph-DGL | NVIDIA ...
Performing Technical Analysis in Rust | by David Li | Dev Genius
Writing Effective Unit Tests in Rust: A Practical Guide | by Buğra Avcı ...
DATA Struct Notes M1 M7 1 - DATA STRUCT NOTES! MODULE 1: Intro to Data ...
3 Fundamental Data Structures Every Developer Must Master for Job ...
Data Structure and Algorithms — Stack | by Ahsan Majeed | Medium
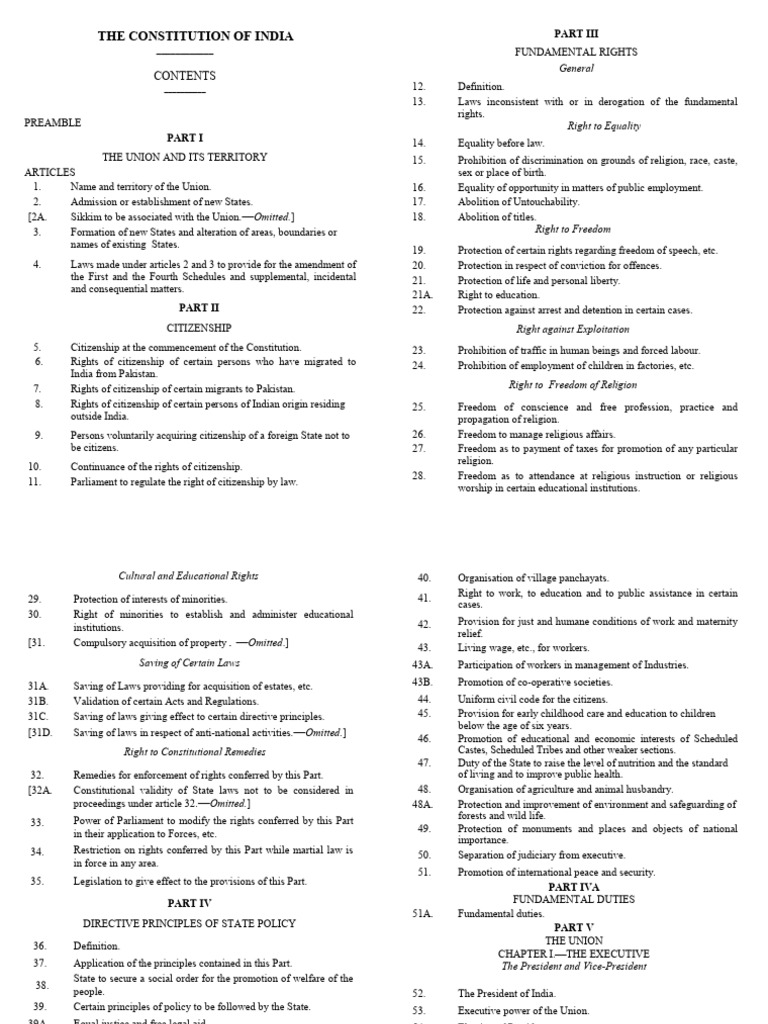
Fundamental Rights of Indian Citizen | Part 3 of constitution of india ...
Learn Data Structures & Algorithms with Build-a-Struct by µLearn CHN ...
Mastering Debug and Display Traits in Rust | by Buğra Avcı | Medium
Rust is an iron oxide, a usually reddish-brown oxide formed by the ...
Galois - Using GPT-4 to Assist in C to Rust Translation
Fundamental Data Structures for Matrix-Free Finite Elements on Hybrid ...
8 Data Structures That Power Your Databases. - by Alex Xu
Understanding Data Structures: A Comprehensive Guide – peerdh.com
Fundamental Data Structures - Fundamental Data Structures - Studocu
Sturctures In C by Logicmojo
Structures In C Structures In C Language | PPT
GitHub - AnthonyByansi/Rust-Exploratorium: 🚀 Master Rust programming ...
Map Reduce Technique. (Python Examples) | by Vidya Rajasekaran | Medium
High Mechanical Performance of Lattice Structures Fabricated by ...
Getting Started with Rust: A Beginner’s Guide | by codingmatheus | Medium
Nine Rules for Creating Fast, Safe, and Compatible Data Structures in ...
Nested If-Else Statements in C++: Comprehensive Guide | by ryan | Medium
What Gets Rust Off Metal | The Tube
Reference(&) vs. Arc, Mutex, Rc, and RefCell with Long-Lived Data ...
Skills required for Rust Developer and how to assess them
Software Development-9. C++ Structures/Struct | by Ceren Ağım | Medium
Solved Please update the code provided below by following | Chegg.com
How learning Data Structures and Algorithms has helped in my Software ...
Navigating Integer Overflow and Floating-Point Imprecision in C ...
Premium Vector | Four basic component of structured products or ...
Transform Your NLP: How to use Hugging Face Bert Models in Rust. Part 1 ...
Part 3: Implementing Traits in Rust for Packet Handling with pnet ...
Part III - Fundamental Rights (FRS) | PDF
Diving Deep into the World of Bun.js | by Nikhil Chapre | Medium
Build Clang compiler on Windows.. In this post, we will explore how to ...
Bite By Night Codes (April 2026) | Beebom
Abhishek Sharma and SKY's heroics help team India beat New Zealand by 8 ...
Scarf Market Soars to $38.5B by 2035 with 4.6% CAGR.
Dear Carats By Sunshine | Manila
13.1 Structures vs UDT - lecture - Basic information on STRUCT ...
Deep Dive into Rust’s derive. An overview of Rust’s derive attribute ...
Corrosion vs Oxidation vs Rust: Understanding the Differences and ...
How To Write An Observation Report: A Complete Guide
What Is Set Data Structure In Python at Lucy Doak blog
Understanding important Python libraries: Pandas, NumPy, Seaborn ...
108000100-1719818815475-gettyimages-2158655393-AFP_34Z83BY.jpeg?v ...
Data Structures Review: Algorithms Presentation
Dynamic Memory Allocation and the Function Call Stack: Python, C, and ...
107393886-1711573678768-gettyimages-1150964756-is09by82f.jpeg?v ...
Agile Leadership: What Is It & Its Principles - Agile By Design
EDITABLE April 2026 Calendar, Printable Calendar 2026, Beautiful Easter ...
United employee, 64, critically injured after airplane wing strikes tug ...
What Was the Sanhedrin? | Judaica Webstore Blog
Frame Rust Repair - Lugnuts Garage
Indian Polity Articles (English) | PDF
Solved For each of the improper integrals below, if the | Chegg.com
Solved Consider the frame shown in (Figure 1). Suppose that | Chegg.com
Electric Bus concept with individual-wheel drive and x-by-wire system ...
The Expanding Horizon of Article21 (Indian Constitution) | PPTX
‘Wakanda Forever’ takes forward the progressive promise of ‘Black ...
Bite by Night codes April 2026
Solved NOTE: This is a multi-part question. Once an answer | Chegg.com
Wicked For Good – Glinda Bubbly Pink Ariana Grande perfume - a new ...
firefly-by-the-river-bc55b6.jpg
Important Articles of Indian Constitution, List, Parts, Schedules
Man U Wall Sticker at Eileen Porras blog
Chemical Equation Of Rusting Iron
(PDF) Type-migrating C-to-Rust translation using a large language model
Communicating science: The “significance” of statistics
Part 3 of Indian Constitution (Fundamental Rights) - ConstitutionofIndia.in
Graphics Card Laptop Benchmarks at Cody Schlater blog
Is Java "pass-by-reference" or "pass-by-value"?
Clash Royale Report Player: A Complete Guide
Is There A New Dateline on Tonight? (March 21, 2025)
Should the 50% Reservation Cap Be Raised?
Based on this image's title: “From C to Rust (Part III). Fundamental Data Structures: struct… | by ...”