A big boost from ATM sales gets NCR 'off to a good start' in Q1 | ATM ...
REITs in U.S. raise over $4B through ATM programs in Q1 - S&P Global ...
Nigerian ATM withdrawals surge 192.7% in Q1 2025 | TechCabal posted on ...
ATM 2024: Dubai attracts 5.1 million visitors in Q1 2024 | The Asian ...
Learnings and Challenges with Competitive Programming in Python: NZPC ...
Cardtronics grows organically in Q1 | ATM Marketplace
For NCR, it's off to the races in Q1 | ATM Marketplace
Diebold Nixdorf puts the squeeze on costs in Q1 | ATM Marketplace
Based on Q1 earnings, NCR turns bullish on full-year outlook | ATM ...
NCR enjoys increased revenue, net income in Q1 | ATM Marketplace
Dubai Tourism Achieves 3% Growth in Q1 2025 | ATM Insights
Strategy Reports $4.2B Q1 Loss, Unveils New $21B ATM Offering - The ...
Bank of Ireland contactless payments rise in Q1 2025, ATM transactions ...
UAE Banks Expand ATM Network To 4,669 In Q1 2024 - OneArabia
Bank of Ayudhya’s net profit up 20% to $226.9m in Q1 | Asian Banking ...
Se6,7 - test - Computer - ASSIGNMENT- Sequence Diagram Q1) ATM cash ...
PPS1 - OOPS pps2 - PPS- Q1. Write a C program to perform ATM ...
Queue Management Practice: ATM & Call Center Analysis (Assignment Q1 ...
Atm Rca Q1 | PDF
Lenders’ Q1 asset growth quickest in 3 quarters - BusinessWorld Online
Bitcoin Depot Shares Pop as ATM Operator Posts 19% Q1 Revenue Increase ...
Capital growth: record Q1 arrivals revealed at ATM - Hotelier Middle East
ATM 2025: Dubai welcomes more tourists; soars 3% in Q1 2025
Axis Bank Q1 Results Review - Downgrade To Hold On Margin Pressures ...
Event: HPE Q1 FY25 ATM held today 🕖 🕖 Award: "Above and Beyond Award ...
Q1: ATM Withdrawal Simulation Task: Design | StudyX
Introducing Q1, the world's most advanced ATM - The Source Full
Solved Q1: Component B is flowing at 1 atm pressure and 28 | Chegg.com
Mangaluru International Airport Achieves Robust Passenger, ATM Growth ...
Best Computer - Guatemala - Super promociones en COMPUTADORAS DE ...
Everest Bank posted NPR 1.17... - Routine of Share Market | Facebook
Chris Shipping 🚢🚢 on Twitter: "$TNP Q4 - Best Qtr ever at EPS $3.17 ...
白が美しいワイヤレス高級キーボード『Keychron Q1 Pro』レビュー!打鍵感も最高 - スーログ
Dubai sees tourism grow 3% in Q1; prepares to host mega ATM show
کیوسک سفارش گیر +Q1 - Doctor ATM
Bank ATM Cash Machine 3D model - TurboSquid 2177931
الاجابة النموذجيه لامتحان... - عبدالرزاق هامان - Haman | Facebook
Medinfo - Precio Q1,786.66 ⌚️ Smart watch Samsung Gear 2 🤩 Aluminum ...
Destiny - 🌟 ¡Luce el estilo que mereces con el reloj Fossil Riley! 🌟 ...
Q1-) 1 molHCl is dissociated at 25∘C and 1 atm total | Chegg.com
GrabShare "ATM" Digital Ad Q1 2023 10s x2 (Philippines) - YouTube
Calculated Risk: The "Home ATM" Mostly Closed in Q1
National Bank of Fujairah - [FINAL CALL] Registration for # ...
Calculated Risk: The "Home ATM" was Closed in Q1; Mortgage Equity ...
迷津黨中央黨部 - 太不講武德了... #憨鳥們 說好的不領呢? 0.5是..... | Facebook
SOLVED: Please show and describe steps and write clearly, thank you ...
Lecture 16 thermal processes. | PPT
Vietnam Consumer Finance Report 2020 | PDF
ATM 앞에서 전화를 받지 말아야 하는 이유
SOLVED: Q1) Methane (CH4) is combusted using dry air. The results of ...
ATM 기기에서 하루 최대 입출금 한도는 얼마인가?
Information Systems Evolution (IS) | PDF
ATMで下ろす金額は?手数料は気にする? | 東証マネ部!
프라하공항 무료ATM 이용법과 꿀팁 총정리 - 여행견문록
Fis formulas de fisica | PDF
住信SBIネット銀行の口座に入金する方法ですが、ATMから無料で入金で... - Yahoo!知恵袋
Grade 2 oxford computer | DOCX
Hóa lý | DOC
Contoh Soal dan Pembahasan Termodinamika | DOC
Digi products knowledge of bob comadium og dp | PDF
Dubai Department of Economy and Tourism Set to Strengthen Travel Trade ...
SOLVED: At 1 atm, 27°C, and 50% relative humidity, atmospheric air ...
#bán | Facebook
Co dac duong | PDF
Saudi real GDP rose by 2.7% in Q1-25
CDS Hikvision Intro 2012 V.1 | PDF
CEMACO - CEMACO added a new photo.
Building Momentum: Abu Dhabi’s Culture and Tourism Sectors Show Strong ...
Termodinamika | PDF
Bài mẫu Khóa luận Phát triển dịch vụ ngân hàng điện tử, HAY | DOC
The Pros & Cons of Intel Q1 ATMsWiggersVentureBeat
customize your keychron Q1 Max – Keychron Mexico
Realsense Q1 Atmswiggersventurebeat
My Portfolio
Manual FOX ABB Teleprotecciones.pdf
普發一萬「ATM領現」17日開跑!哪些ATM可以領?如何操作?8大常見QA一次看
【普發6000元「ATM領現」懶人包+四大超商加碼優惠】秒懂如何領取?哪裡可領?|女人我最大
普發6000元第二波「ATM領現」免登記四大超商就能領!加碼咖啡零食「買一送一」優惠|女人我最大
[전문가 칼럼] 가장 궁금한 상속 고민 ‘사망 전 현금인출과 부동산 현금화’
Zimbabwe’s Debt Crisis: Q1-Q2 2025 Trends Analysed
แบงก์กรุงเทพ Q1/2568 กำไรสุทธิ 1.26 หมื่นล้าน เพิ่มขึ้น 19.9%
170834-DFM-16-25-P-A-GF-Festo
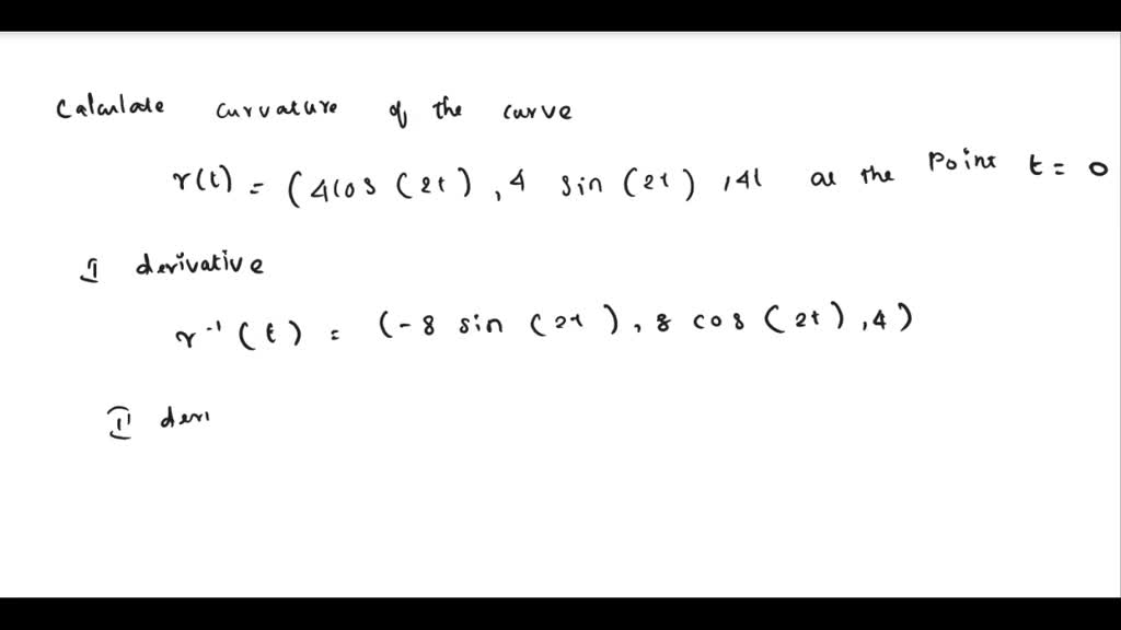
Based on this image's title: “Solving First Competitive Programming Question In Python | Q1 - ATM ...”