Reduce Function Implementation in Python - Complete Tutorial - YouTube
Reduce the Function - College Algebra - YouTube
Tìm hiểu về Reduce function Python - YouTube
110sp20 - 20.1 - The reduce Function - YouTube
Reduce Function in Python (Higher Order Function) - YouTube
PYTHON : How does reduce function work? - YouTube
The reduce function in JavaScript: EXPLAINED! - YouTube
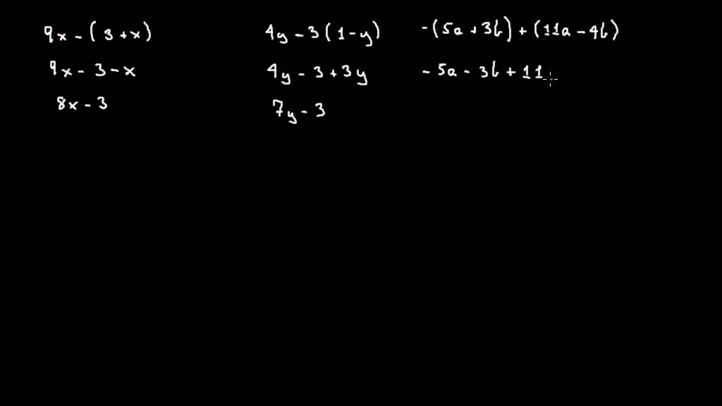
correctin HW Reduce the fraction function P 27 - YouTube
REDUCE function - Microsoft Support
Learn How To Reduce A Fraction In 7 Minutes - YouTube
Learn How To Reduce A Fraction – Be A Math Superstar :) - YouTube
python - How does reduce function work? - Stack Overflow
Reduce basics - Part 3 of Functional Programming in JavaScript - YouTube
Reduce - Reduce Fractions - YouTube
37 - YouTube
Intro To Reduce - YouTube
Exploring the reduce Function | CodeSignal Learn
Learn the JavaScript Reduce function in 18 minutes (for beginners ...
F# Friday – The reduce Function – Brad Collins
How to use the REDUCE function
Reduction Formula - 3 - YouTube
equation solving - Plotting roots found using Reduce - Mathematica ...
142-Use Reduction Formulas to Simplify an Expression - YouTube
An example to illustrate the computation of reduce function | Download ...
07 Reduction formulae with numerical values - YouTube
calculation exercise 379 Reduction - YouTube
Reduce function iterates over the input set to produce an aggregated ...
Workflow of Reduce function | Download Scientific Diagram
Reduce function In the Reduce function the list of Values... | Download ...
How To Reduce Math - Heightcounter5
How To Reduce Expressions - Richeffective24
Reduction Formula, Part 3 - YouTube
03 - Reducing Fractions - YouTube
equation solving - Weird behavior of Reduce - Mathematica Stack Exchange
REDUCTION FORMULA -3 - YouTube
4 Ways to Reduce Fractions - wikiHow
Reduce và reducer - Dang's Blog
Reduktion 17,3 - Eksempler på reduktion 3 - YouTube
2 Reductions - YouTube
Reductions - YouTube
Reducer - YouTube
Powerful Reduce Example Guide 2025 – Python & JS
How to reduce a given numbers | Two easy methods to show how to reduce ...
Learn How to Learn: Rebuilding the .reduce function from scratch and ...
Representation of the REDUCE function. From... | Download Scientific ...
Tricks to reduce fractions #Mathematics #mathshorts #satmathtricks # ...
RULE OF 37 in SIMPLIFICATION| SIMPLIFICATION TRICK for SSC exams# ...
2 ( Simplify reduction function using a calculator to determine if ...
Going Deep with REDUCE | ICAEW
Learn how to reduce fractions! #viral #math #equation #like # ...
Reduce Math
How to use the Reduce formula?
Residents rejoice at the reopening of Aldi - Spanish Property & News
Reduce Fractions
reduce | Raoul2000
Reduce | Math | ShowMe
Definition of Reduce
Programme 17 Reduction Formulas - PPT Download
Chapter 7 Reduction Formulae - CHAPTER 7 REDUCTION FORMULAE 4 formulae ...
9 Functionals | Advanced R
Reduction of a fraction|Maths Resolution #shorts #shortfeeds # ...
Reduction formulae (with examples) @joytacademy How to simplify ...
How Can I Put The Array.reduce() Method To Use In Technical Marketing ...
reduce-function | Real Statistics Using Excel
Reduction formula for trigonometric functions with solved examples ...
Mastering Reduction Formulas: What They Are, How to Use Them, and a ...
Reduction Math
Reducing trigonometric expressions using the reduction formula. # ...
Reduction formula | problem #7 | unit : integral calculus ...
TEXTJOIN Formula: Quick Tip in Microsoft Excel | Guadalupe Garcia, CPP
7. REDUCTION FORMULA | Concept & Problem 7 | INTEGRAL CALCULUS | Most ...
Faire26_portables | Hackaday
Faire26_scanner | Hackaday
Faire26_spectrums | Hackaday
Faire26_terms | Hackaday
Faire26_rover | Hackaday
Faire26_phones | Hackaday
Faire26_projects | Hackaday
Faire26_otrona | Hackaday
Faire26_doom | Hackaday
Faire26_arm | Hackaday
Faire26_videophone | Hackaday
Faire26_imsai | Hackaday
Faire26_retroart | Hackaday
Faire26_8track | Hackaday
Faire26_lego | Hackaday
Faire26_blinken | Hackaday
Buy Virbac Hpm Feline Kidney & Joint Kj2 3Kg at the best price.
Reducing Fractions Answers
7.reduction Formula | PDF | Elementary Mathematics | Mathematical Logic
รูปภาพReduce – เลือกดูภาพถ่ายสต็อก เวกเตอร์ และวิดีโอ3,896,174 | Adobe ...
Math Reduction: What It Means & Why It Matters
Reduction Formulae | PDF
Reduction Formulae – KindiakMath
Based on this image's title: “37 Reduce Function - YouTube”