PPT - Statistics for Machine Learning PowerPoint Presentation, free ...
Statistics For Machine Learning - GeeksforGeeks
The Ultimate List of Machine Learning Statistics for 2023
7.1 The Eigenconcept - The Essential Machine Learning Foundations: Math ...
Statistics for Machine Learning - Studyopedia
Probability & Statistics for Machine Learning & Data Science - Coursya
Machine Learning Archives - Software Engineering Daily | Wave AI ...
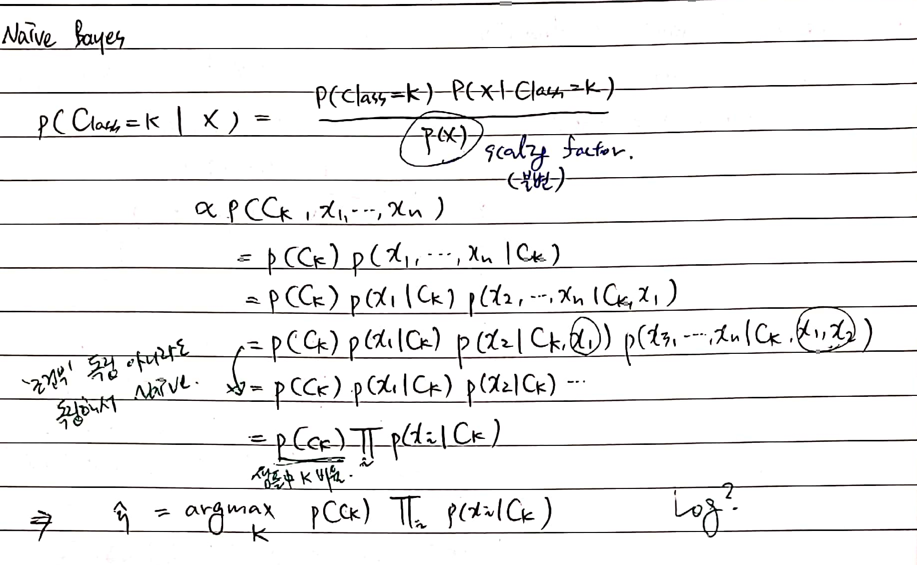
11.1 Machine Learning versus Frequentist Statistics - Probability and ...
Statistics for Machine Learning - TechVidvan
(PDF) Role of Machine Learning and Data Mining in Internet Security ...
Statistics and Machine Learning Toolbox——使用统计与机器学习进行数据分析及建模 - 知乎
DOWNLOADS Probability and Statistics for Machine Learning A Textbook by ...
CQM - Applied Statistics & Machine Learning
DETECTING THE SECURITY LEVEL OF VARIOUS CRYPTOSYSTEMS USING MACHINE ...
Chapter 1: Getting Started with R | The Statistics and Machine Learning ...
🎯 Machine Learning vs Statistics - harsh setia - Medium
Statistics and Machine Learning — When to Use What? | by Jack Tan | The ...
Statistics & Machine Learning - Anexas Europe
PPT - Machine Learning vs. Traditional Statistics: Key Differences and ...
Statistics for Machine Learning | Types of Statistics for Machine Learning
Probability & Statistics for Machine Learning & Data Science (Coursera ...
Machine Learning VS Statistical Learning vs Statistics - Cross Validated
A Review On Cyber Security Datasets For Maschine Learning Algorithms ...
Security of Machine Learning | PDF
Unsupervised Learning | Statistics for Machine Learning
(PDF) Detecting the Security Level of the Cryptosystems in Cyber ...
Why Statistics for Machine Learning Matters | ClicData
Statistics You Need to Know for Machine Learning
(PDF) An approach to the correlation of security events based on ...
Machine Learning Algorithms in Cyber Security | PDF | Computer ...
Dataset Security For Machine Learning: Data Poisoning, Backdoor Attacks ...
Probability For Statistics And Machine Learning: Advanced Topics And ...
60+ Machine Learning Statistics & Market Insights for 2025
Statistical Prediction and Machine Learning | PDF | Statistics ...
Statistics with R for Machine Learning: Volume 1 Data Preparation and ...
Statistical Machine Learning 1665832214 | PDF | Statistics | Machine ...
Use of Machine Learning | PDF | Bootstrapping (Statistics) | Machine ...
Amazon.com: Machine Learning Security Principles: Keep data, networks ...
Statistics Machine Learning Python | PDF | Integrated Development ...
Statistics for Machine Learning (For 2024 exam) | Bpb publications
Understanding Statistics for Machine Learning Models
Statistics For Machine Learning: Essential Techniques To Improve ...
(PDF) A Survey on Security Threats and Defensive Techniques of Machine ...
Python For Probability, Statistics And Machine Learning: A ...
Chapter 1: Introduction to Machine Learning Security and Challenges ...
Unsupervised Learning Algorithms: Machine Learning Series for Beginners ...
Probability for Statistics and Machine Learning: Fundamentals and ...
Understanding the Difference: Statistics vs Machine Learning
Statistics for Machine Learning with Codingdidi
Probability for Statistics and Machine Learning
Basics of Machine Learning in Cybersecurity | Hands-On Machine Learning ...
A-Z Statistics for Machine Learning & Data Science | aiQuest Intelligence
Machine Learning Security Threats | PDF | Machine Learning | Deep Learning
Machine Learning Statistics By Operation, Market And Fact
Statistics for Machine Learning: Analysing Unseen Patterns
Machine Learning in Application Security | IntechOpen
Information Security, Data Security, and Database Security in Machine ...
60 Notable Machine Learning Statistics: 2024 Market Share & Data ...
Machine Learning Statistics and Facts (2026)
50+ Machine Learning Statistics 2023 Facts and Adoption
Machine Learning Statistics 2024 · AIPRM
Chapter 2: Machine Learning Phases and Privacy Threats/Attacks in Each ...
Amazon.com: Statistics, Data Mining, and Machine Learning in Astronomy ...
Information | Special Issue : Machine Learning for Cyber-Security
Data Leakage in Machine Learning | PDF | Cross Validation (Statistics ...
Machine Learning Statistics And Facts (2025)
Clearly Explained: How Machine Learning differs from Statistical ...
Machine Learning Algorithms.pptx-1 | PDF | Cross Validation (Statistics ...
Prerequisites for Machine Learning | Key Requirements
Interpretable Machine Learning | PDF | Cross Validation (Statistics ...
Statistics / Machine Learning [triviaz.net]
Machine Learning Security – ZISC
The Right Statistical Test for Your Data Analysis | by Eliana Ibrahimi ...
Machine Learning Statistics 2024 By Market, Revenue And Region
Machine Learning Notes | PDF | Statistics | Machine Learning
Multivariate Statistics and Machine Learning: An Introduction to ...
Statistics and Machine Learning Toolbox
Machine Learning Statistics You Need to Know in 2026
Demystifying Core Concepts in Machine Learning & Statistics
Machine Learning in Materials Science | PDF | Cross Validation ...
Machine Learning: A Solution to Today's Security Threats & One Step ...
Machine Learning Statistics Powering Modern Solutions
Machine Learning With Python | PDF | Statistics | Machine Learning
Machine Learning Techniques | PDF | Cross Validation (Statistics ...
Machine Learning Statistics 2024 By Models And Usage
statistics and machine learning in python pdf
(PDF) Enhancing Data Security with Machine Learning: A Study on Fraud ...
(PDF) Machine Learning Security: Threats, Countermeasures, and Evaluations
Cybersecurity Data Science Lab for UK | PDF | Computer Security | Security
Statistical Data Analysis Techniques in Machine Learning
Statistical Machine Learning: A Unified Framework (Chapman & Hall/CRC ...
Machine Learning or Statistics? – Perioperative Data Science
ChatGPT: Everything you Need to Know | Machine Learning Archive
What Is MLP In Machine Learning | Robots.net
Table 1 from A Cybersecurity Data Science Demonstrator: Machine ...
(PDF) STATISTICS & MACHINE LEARNING: Alpha Level
Statistical and Machine Learning Data Mining
What Is Statistical Machine Learning? A Guide to Key Concepts and ...
Sentiment Analysis with Random Forests | Machine Learning Archive
(PDF) Data Analysis, Statistics, Machine Learningwilkinson... · Data ...
Artificial Intelligence Machine Learning And Deep Learning PPT Template
[Machine Learning] Statistics(1) - Maximum Likelihood Estimation(MLE)
Machine Learning Archive | LinkedIn
Introduction to Machine Learning
Predictive cyber security | PDF
Five Approaches to Determine Feature Importance in Classification ...
Best Computational Statistics Textbook | geniuspage
Exploratory Data Analysis (EDA) .pptx
Calculate Z Score Pandas at Ralph Rutter blog
FREE Resources to Level Up Your Data Skills | ProjectPro
Based on this image's title: “Statistics For Machine Learning Archives - Page 7 of 12 - The Security ...”