Unit 6: Overview of Computer Languages - Types & Uses - Studocu
SL Unit 1 - Overview of Scripting Languages and Key Features - Studocu
Unit 5 Quiz Review: Overview of Scripting Languages CS 4402 - Studocu
Unit 6: Overview of Neonatal Care and Key Concepts in Maternity - Studocu
UNIT 3 Overview of Programming: Structure of a Python Program, Elements ...
SL Unit 5 - Comprehensive Notes on Tcl/Tk Scripting Language - Studocu
UNIT V: Client-Side Scripting with JavaScript Overview - Studocu
Unit 6 - Overview of Computer Languages and Their Features - Studocu
6: Data Study Companion - Unit 6 Overview and Key Concepts - Studocu
UNIT 1 - Introduction to Ruby Scripting Language and Execution - Studocu
Types of Business Organisation: UNIT 6 Overview of Structures - Studocu
SL-UNIT - 5 - Detailed Notes on Scripting Language (TCL) Unit 5 - Studocu
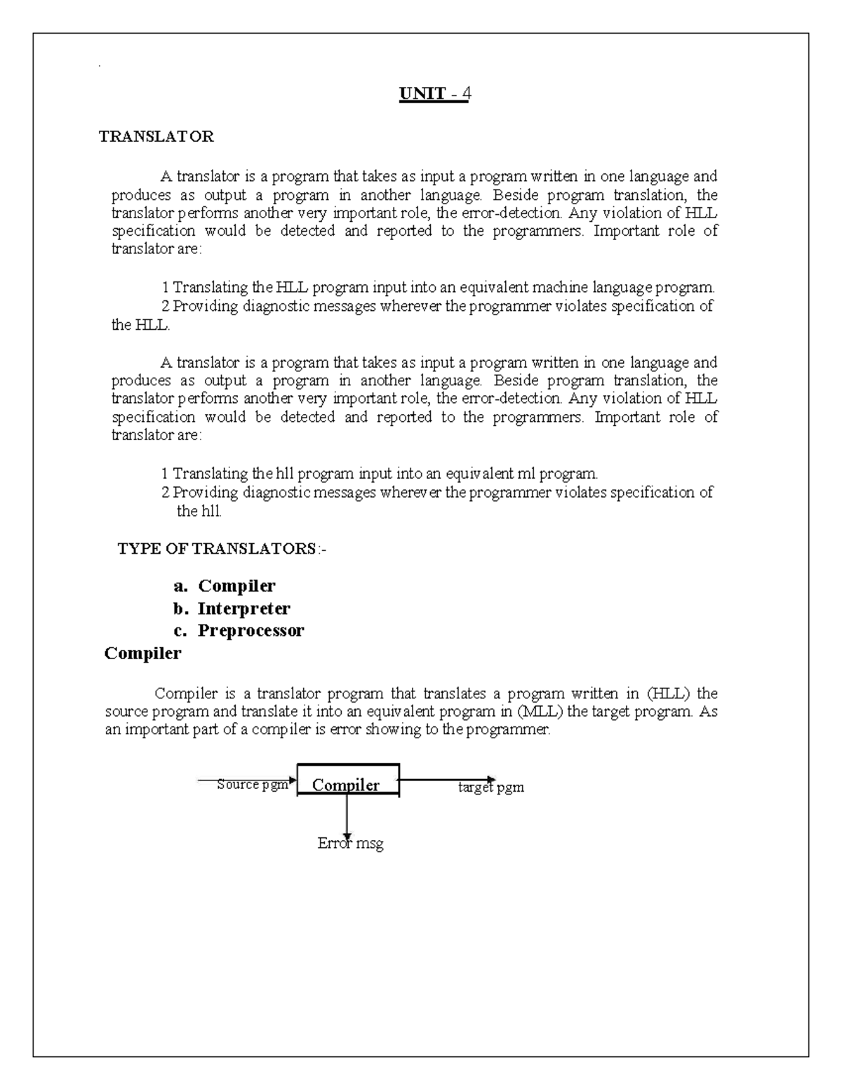
ATCD-Unit 4: Overview of Language Processing and Translators - Studocu
Scripting language python - Python Programming - Studocu
Web Tech Unit 3: JavaScript Scripting Language Notes - Studocu
IT 140: Intro to Scripting I - Python Interpreter Overview - Studocu
Unit3 - Scripting Language unit 3 notes - Computer science - Studocu
CSS Notes - Subject: Client Side Scripting Language Unit – I Basics of ...
UNIT 1 - History of Python Programming, Key Areas, and Anaconda Setup ...
Learning Guide Unit 6 - Overview Unit 6: Implementation and Maintenance ...
Unit IV - perl scripting language - UNIT- ADVANCED PERL 1 Finer Points ...
Scripting Language Notes - Unit 2 (R18) - Important Concepts and ...
Unit V - tcl scripting language - UNIT- TCL Structure, syntax ...
CSCI 132: Practical UNIX and Programming Unit 6 Overview - Studocu
Unit-6: Overview of Web Applications, Servlets, and JSP - Studocu
WD Unit 1 Lecture Notes: Introduction to Scripting Languages - Studocu
Cs4402 Unit 5 Journal: Insights on Scripting Languages and Regex - Studocu
S.L UNIT-I - Introduction to Ruby Scripting Language Concepts - Studocu
Sl spectrum unit-2 - scripting language unit 2 - SCRIPTING LANGUAGES 2 ...
BUS 4407 Learning Guide Unit 6 - Overview Unit 6: Corporate Strategies ...
Unit 4 - Unit-4 Client Side Scripting with JavaScript Structure of ...
XML - Unit 4 - IN Part – A 1. Define PHP PHP is defined as a server ...
Energy Resources and Consumption Notes: APES Unit 6 Overview - Studocu
NEA 3 Unit 4 Vocabulary and Grammar Overview - Studocu
UNIT-I - Important notes - Client Side Scripting Language Prepared as ...
SL Unit 1 - Hdhgsfgh - Programming Language and Scripting Language Both ...
Sl spectrum unit-1 - scripting language unit 1 - 1 SCRIPTING LANGUAGES ...
Scripting Language Unit 1 - CACS 205: Script Language PREPARED KRISHNA ...
JavaScript 2.1 Introduction: Overview of Scripting Language Features ...
VCE Chemistry Unit 3 Formulas and Constants Overview - Studocu
Python Unit 1: Introduction to Programming Concepts and Features - Studocu
Cognitive Approach in HCI Design: Unit 6 Overview - Studocu
Codetantra: Programming Languages & Python Basics Unit 1 - Studocu
SCT Unit 5-notes - 1 Interactive Python Scripting: Interactive Python ...
PPL 6th Semester - Principles of Programming Languages Unit-I Overview ...
Codetantra Solutions Unit 1 - Unit 1 - Lesson 1 1.1. What is a computer ...
SL Unit-1 - Unit-1 Notes - Scripting Languages - Studocu
4CS4402 Comparative Programming Language Unit 4 discussion - CS4402 ...
Worksheet 4 - Unit 2B Programming techniques - Studocu
UNIT 5 Functional Programming Languages & Scripting Languages - UNIT 5 ...
Learning Guide Unit 6 - Assignments for Unit 6 - Overview Unit 6 ...
UNIT IV: PHP Server-Side Processing & Scripting - Key Concepts & Q&A ...
Python Unit-1 Hand-written Notes - I Python Python is a interpreted ...
Demo Lesson - AP for All AP Language Unit 4 Lesson 68 NW 7 - AP ...
Unit 4 Relational Database Query Language - Unit 4 – Relational ...
Module 4 Notes - Intro to Scripting Unit 4 What is Pseudocode and how ...
Web Programming Notes - UNIT-I: Scripting Types & HTML Basics - Studocu
PPL UNIT 1 Notes - CCS358 / PRINCIPLES OF PROGRAMMING LANGUAGES UNIT I ...
SL UNIT-3 - 1. The World of Scripting Languages, David Barron Wiley ...
JavaScript Scripting Concepts and Techniques - WT Unit3 - Studocu
Learning Guide Unit 6 - Assignments for Unit 6 - Overview UNIT 6 ...
SL Unit-3: Introduction to PERL Scripting and Its Applications - Studocu
Brainy 4 Unit Test 6B - Listening and Vocabulary Activities - Studocu
Principle of programming languages - UNIT 2 DATA, DATA TYPES, AND BASIC ...
Unit 6- Guides - Learning Guide Unit 6 Learning Guide Unit 6 Overview ...
Important Questions - sl scripting language - Final Exam questions from ...
UNIT3 JS - UNIT III Java Script Q1) What is scripting language? Explain ...
SL important unit3 - Scripting Language - Unit- Famain Regulat Fxfess ...
PERL - perl unit 3 r18 - Unit -III Introduction to Perl and Scripting ...
Klasa 5 Unit 4 Test - Listening, Vocabulary, Grammar Exercises - Studocu
Unit 1 Zy Books - Intro to Scripting Unit 1: Introduction to ...
CS 4402 Discussion post Unit 5 - CS 4402 Scripting Languages Discussion ...
Unit 3: Client-Side Scripting with JavaScript - Web Programming Notes ...
Unit 4A B2 Listening and Reading Test 1 - Password Required - Studocu
Brainy CL6 Unit Tests Answer Key for Unit 1 to Unit 8 - Studocu
SCT_UNIT-5 | PDF | Python (Programming Language) | Scripting Language
Unit 3: Introduction to Scripting Languages and Their Applications ...
DOC-20240529-WA0004 - PRINCIPLES OF PROGRAMMING LANGUAGES UNIT- 4 ...
SL UNIT 3(Part 1) - SL UNIT 3 NOTES PART 1 - UNIT- Introduction to ...
Introduction to JAVASCRIPT - UNIT- INTRODUCTION TO SCRIPTING LANGUAGES ...
PPL Notes-UNIT-5- Functional Programming Languages, Scripting Language ...
Digital Sparks: Programming 4: Snapshot Unit Overview
SL Unit-3 - UNIT-3 Notes - UNIT- Introduction to PERL and Scripting ...
Learning Journal Unit 6 CS 4402 - Learning Journal Unit 6 – Unit 5 ...
Programming in C language Unit-4 - Unit- Programming In C Language ...
CSCS247 Principles of Programming Languages Unit 3: Procedures & Data ...
Independent Study Programming Activities for CSNEWBS Course - Studocu
Unit 4: Introduction to Scripting Languages and Their Applications ...
Scripting Languages Unitwise imp questions - Scripting Languages ...
SL unit-3 - Easy to learn - UNIT-III Introduction to Perl and Scripting ...
Chapter 02 Language, Formality, influences and functions - Language ...
CCS358/Principles of Programming Languages Unit I Notes: Syntax ...
Digital Sparks: Programming 3: Unit Overview
UNIT - 4 - Bio Unit 4 - 21CSS101J - PROGRAMMING FOR PROBLEM SOLVING ...
International Conventions on Sustainable Development: Unit 6 Overview ...
Brainy kl5 Short Tests Unit 4 Lesson 4 - Imię i nazwisko: Klasa: Imię i ...
Trp Operon reading 1 - bio help - Studocu
SB unit 4 - unit 4. studying Lithuanian language. - PABENDRAUKIME ...
Test B - Link L6 U6 Sprawdzian dla Klasy 6: Słownictwo i Gramatyka ...
Unit 4 2 marks - IT3401-WEB ESSENTIALS UNIT IV SERVER-SIDE PROCESSING ...
Summary Notes UNIT 6 - UNIT 6(PAS 36, 37, 38) - CONCEPTUAL FRAMEWORK ...
Recent Trends in Distributed Systems: Unit 6 Overview and Case Studies ...
Class 12 AI Unit 6 Understanding Neural Networks Book Solution - Anjeev ...
Python – The Fastest Growing Programming Language | PDF
Digital Sparks: Computing Unit Overview: Programming 4
Tutoriel sur les tests unitaires en Python | DataCamp
Indo script - Help - Topik yang akan saya bicarakan adalah tentang ...
Project Synopsis Format and Guidelines - Synopsis Format Page 1: Front ...
EC A2 Unit 6 Answer Key & Script: Vocabulary and Grammar Exercises ...
Python Notes for mca i year students osmania university.docx
Cheat Sheet for Python Download Printable PDF | Templateroller
Zootopia Analysis: Exploring Toponyms, Migration, and Urban Patterns ...
Public Expenditure Insights: Principles, Trends & Growth in India (Unit ...
MT_01_unittest_python.pdf
Based on this image's title: “Unit 6: Overview of Python as a Scripting Language (Unit6en4) - Studocu”