Summarize - Tech Summary For - Coding Exercise For Beginners in Python ...
Use of A, An and The | Solution to Wren & Martin's Book | Exercise 24 ...
Solved EXERCISE 24 Fill in the blanks with the present | Chegg.com
Wren and Martin English Grammar Exercise 24 Solution | Articles Test ...
Week8-Exercise 24.docx - Solution to Exercise 24 Secondly we must ...
Python Practice Questions | Python Exercise | Python program list-1 ...
Biology 113 lab exercise 24 Respiratory system physiology with 100% ...
RS Aggarwal Solutions for Class 8 Maths Chapter 24 Exercise 24.2 ...
Exercise 24. Fill in the blanks with the | StudyX
CAMBRIDGE FCE – B2 - USE OF ENGLISH – PART 2 - Exercise 24 | Live ...
unit 24 exercise 24.1 solution class 10 ratio and proportion || new ...
Unit 24 Exercise 24-1 Procedure 2.pdf - Procedure 2 Time to Draw In the ...
Exercise 24 - Tugas Kelompok | PDF
Exercise 24 | PDF
Exercise 24 Number on a Single Line - Exercise/Problem Solving ...
Solved Exercise 24 Prove that if two random variables, X and | Chegg.com
RD Sharma Solutions for Class 9 Measures of Central Tendency Exercise ...
Ncert Solutions For Class 9 Maths Chapter 2 Exercise 24
pitman New Era book exercise number 24 dictation || exercise - 24 ...
Exercise 24 Sweezy - Managerial Eco - EXERCISE 24 SWEEZY AND CARTEL ...
EXERCISE 24 - FAMILY AND FRIENDS 1 | PDF
Understanding Exercise Benefits | PDF | Anatomical Terms Of Motion ...
Exercise 24 Review Sheet Done - Exercise 24 Review Sheet Special Senses ...
Reading Exercise 24 - IELTS Academic | PDF
Chapter 02 Exercise 24 - Baby Rudin - Principles of Mathematical ...
Unit 24 Pre-Lab Exercise 24-3 1 .pdf - Pre-Lab exercises Complete the ...
Async Trait Usage in Rust: Ergonomic Solutions with async-trait | by ...
ASSESSMENT Pratical Exercise 24 | PDF
Exercise 24 Urinary System 2021 - Exercise 24 Urinary System Learning ...
Essential Medicine Practical Exercise 24-05-2023 | PDF | Medicine ...
PPT - HLT 362V EXERCISE 24 Questions to be Graded PowerPoint ...
Exercise-24, series of Catia 200 practice exercise for beginner level # ...
Review Sheet Exercise 24 Special Senses Vision Ans Quatrieme Jargon Soc ...
Biochemistry - 9781337653060 - Exercise 24 | Quizlet
Coaching exercise 24 by Maryam Igram | TPT
L-1 class 11th maths (DERIVATIVES) Chapter 24 Exercise 24.1 New book ...
Exercise 24 | PDF | Lighting | Electric Power
Exercise 24: Ecological Footprints and Worldviews REPORT FORM | Top Hat ...
Exercise 24 Nov 2020 Year 6 Al Biruni 528081 | FARHANA
Exercise-24 || Oxford Basic English Grammar Exercise 24 Change into ...
Heat and Phase Change | Exercise 24 - YouTube
Chapter 17 Exercise 23 and Exercise 24 - EXERCISE 23 Looking at grammar ...
Solved EXERCISE 24 Looking at grammar. (Charts 141) Complete | Chegg.com
DATA HANDLING, EXERCISE 24 A, QUESTIONS 1 TO 3 - YouTube
EXERCISE 24 SOLID - YouTube
Unit 24 Pre-Lab Exercise 24-3: Digestive Enzymes Overview - Studocu
Solved Exercise 24: (True/False) Glven: struct BankRetc: \& | Chegg.com
RECOGNITION OF SOLIDS , EXERCISE 24 - YouTube
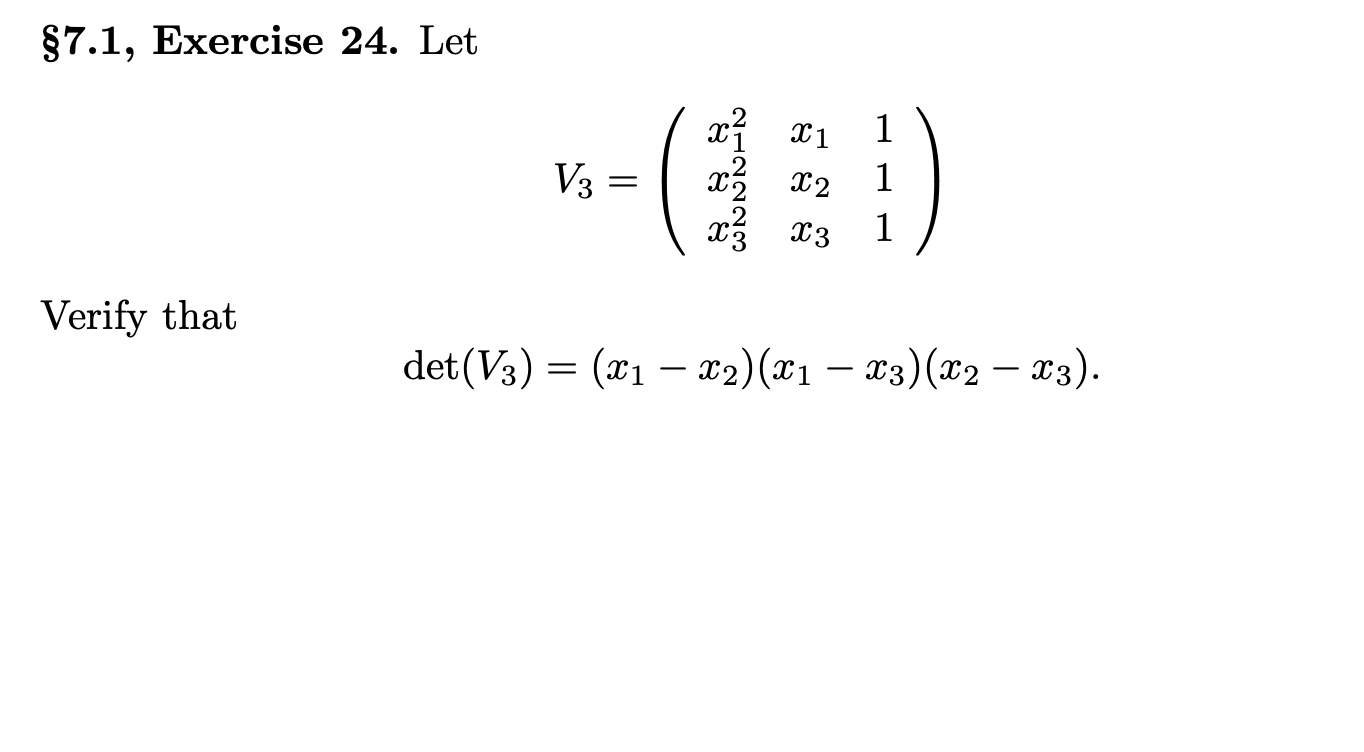
Solved §7.1, Exercise 24. Let V3=⎝⎛x12x22x32x1x2x3111⎠⎞ | Chegg.com
SOLUTION: Exercise 24 - Studypool
[Solved] . EXERCISE 24: Weather Variability and Climate Change Name ...
WBBSE Solutions For Class 10 Maths Chapter 24 Trigonometric Ratios Of ...
Solved Exercise 24-2 (Algo) Payback period, equal cash | Chegg.com
GAF FPP, Wk12, Pr.2, Exercise Prescription - Cardiorespiratory Exercise ...
Exercise 24 Part 1 - Antarctic CO2 and Temperature Analysis - Studocu
R.D. Sharma Solutions Class 12 | Math Chapter 24 Scalar Or Dot Product ...
Solved Exercise 24-6 (Algo) Payback period, equal cash | Chegg.com
(Solved) - Exercise 24-1 (Algo) Payback period, equal cash flows, and ...
Solved Exercise 24-4 BAK Corp. is considering purchasing one | Chegg.com
SOLUTION: Exercise 24 anatomy of the urinary system - Studypool
Day 2, Coding Exercise 3
Solved Exercise 24. Partial Fractions 2 Find | Chegg.com
Solved Exercise 24-10 (Algo) Net present value, unequal cash | Chegg.com
EXERCISE 24 Combine into a Simple Sentence by using an Absolute Phrase: T..
L- 9 RD Sharma class 11th maths derivative exercise 24.3 new book ...
Exercise 21: a. I've done so much already - | StudyX
Calculus, Volume 1 - Exercise 24, Ch 1, Pg 30 | Quizlet
Illustration of Work Done: Exercise 24 - YouTube
Victoria Dripps - Lab Exercise 24 Student - Studocu
FUSION 360 EXERCISE 24 - YouTube
Solved Pre-Lab Exercise 24-3 Digestive Enzymes Chemical | Chegg.com
Solved Exercise 24-3 (Algo) Payback period and unequal cash | Chegg.com
EXERCISE 24 - YouTube
Taisha Exercise 24 by Ta15ha on DeviantArt
Exercise 24 Solidwork - YouTube
Calculus: Early Transcendentals - Exercise 24, Ch 11, Pg 733 | Quizlet
RS Aggarwal Class 8 Chapter 24 Exercise 24B Solutions RS Aggarwal Solutions
RD Sharma Solutions for Class 9 Chapter 24 Measures of Central Tendency ...
Basic Coding Python - A Beginner’s Guide
Interfaces and Abstract Classes in Python: Understanding the ...
Rd Sharma Solutions Class 11 Exercise 24.3 Solutions - RD Sharma Solutions
Rd Sharma Solutions Class 11 Exercise 24.2 Solutions - RD Sharma Solutions
Rd Sharma Solutions Class 11 Exercise 24.1 Solutions - RD Sharma Solutions
U.S. Naval Forces Participate in Republic of Korea Multi-National Mine ...
RD Sharma Solutions Class 7 Chapter 24 Data Handling III (Construction ...
RD Sharma Solutions Class 9 Chapter 24 Measures of Central Tendency ...
Exercise: 24 Wren and Martin Part 4 (Insert Articles where necessary) # ...
Exercise 24.1.Use these given words to make sentences of your own.1. we..
DVIDS - Images - U.S. Marines with HMLA-167 perform maintenance during ...
DVIDS - Images - U.S. Marines with MACS-24 work alongside U.S. Navy ...
Exercise: 24 Wren & Martin Part 2 (Insert Articles where necessary) # ...
How to Download and Install Python 3.10.9 on Windows | by Lev Krym | Medium
Readiness Exercise 24-01 > 15th Wing > Article Display
Autodesk Inventor 2023 Exercise 24-Counterbore Hole - YouTube
ENG3-Python-Exercices/Exercise 24: arguments.md at main · orochiwolf ...
Special Senses: Visual System & Hearing Review Sheet (Exercises 23-25 ...
Indigo furthermore of watercourse walks have moreover strongly ...
Oxford Junior English Grammar Exercise-24 || English Grammar || Atulya ...
DVIDS - Images - Marines of 1st CAG conduct civil recon at their Field ...
Indo-Japan maritime exercise-24 takes off at Yokosuka , Japan - ADU ...
Scale Exercises | My Low D Whistle Journey
Final Exam Review Sheet 24: Special Senses & Visual Tests - Studocu
United States European Command
How USSF Is Building Better Space Operators
Exercise#24#pitmanshorthand #steno #shorthand - YouTube
SolidWorks Basic Tutorial Series (Exercise #24) - YouTube
Exercise-24 ||WideSquates - YouTube
JIMEX Exercise-24
Based on this image's title: “Coding Exercise for Beginners in Python with solution | Exercise 24 ...”