20. augmented assignment statements in Python - YouTube
What is Augmented Assignment Operators in Python #shorts - YouTube
assignment operator in python | augmented assignment operator - YouTube
augmented assignment operators in python - YouTube
Python augmented assignment operators - YouTube
Augmented Assignment Operators Python - YouTube
Python Augmented Assignment Operators Explained | ByteAdmin - YouTube
Augmented assignment statements in Python – techPiezo
Array : Python augmented assignment issue - YouTube
Python | Augmented Assignment Operator | #Shorts - YouTube
Augmenting assignment operator Python - YouTube
Augmented Assignment Operator in Python ...
Unit 3 Video 9: Augmented Assignment - YouTube
Augmented Assignment in Python | Python for beginners | Mr ...
Pythons Augmented Assignment Operators - YouTube
AUGMENTED ASSIGNMENT OPERATORS IN PYTHON PROGRAMMING Introduction to ...
Assignment and Augmented Assignment in Python | RP’s Blog on AI
Operators in Python | Assignment, Relational, Augmented Assignment ...
Advanced Assignment Statement Python 3 - YouTube
1.9 Augmented Assignment Operator - YouTube
Python 003: The assignment statement and arithmetic. - YouTube
Augmented Assignment Operators in Python # ...
06. Assignment and augmented assignment operators - YouTube
Java 8: Augmented Assignment Operators i+=5 جافا - YouTube
The Assignment Operator in Java - YouTube
Python - What is the difference between i+1 and i += 1 in a for loop ...
Augmented Assignment Operators In Python | by Zeeshan Ali | Medium
Arithmetic and assignment operators with python lesson 10 - YouTube
The if-elif-else Statement in Python - YouTube
python - range(1,n+2) not printing my desired output in for loop ...
Simple meditations on assignment statements in Python
python augmented assignment operators
Assignment vs Augmented Assignment Operator | Python | Data Scientist ...
Python Math Module & Augmented Assignment Operator | Python Tutorials ...
Assignment Statement Algorithm in Python: Diagram | PDF | Python ...
Augmented Assignments in Python | Towards Data Science
Augmented assigment operators - American Python
Assignment Operators in Python (With Examples)
3.9 Augmented Assignments - Intro to Python for Computer Science and ...
How to Use Assignment Operators in Python – LinuxWays
Graded Assignment Python help for non-programmer - Linear Algebra for ...
The Compound Assignment Operator in Python | by Liu Zuo Lin | Level Up ...
Chapter 2: Augmented Assignment, Increment, and Decrement - YouTube
The "+=" May Not Do What You Expected In Python | Towards Data Science
PA 303.4.1 - Practice Assignment Control Flow (Conditional) Statements ...
addition assignment - YouTube
Assignment Operators in Python: Complete Guide with Examples - Codingzap
Solved 10 Points In the Python assignment statement X = what | Chegg.com
Algorithms | ทำโจทย์ Assignment graph 1 (ข้อ 1) - YouTube
boolean operators Python example - YouTube
PPT - Introduction to Operators in Python A Beginner_s Guide.docx ...
155 Demystifying the Augmented Assignment Operator: A Comprehensive ...
Solved Exercise 4. about augmented assignment operators | Chegg.com
A Handy Guide to Python | Built In
Augmented Reality Assignment Questions | PDF
Assignment - 1 - AI - Unit 1 | PDF
7 expressions and assignment statements | PDF
Python Crash Course Intro, scripts - ppt video online download
1.4. Expressions and Assignment Statements — CS Java
assignment 1 - Assignment #1 1. Algorithm: a Starting at the beginning ...
Solved Tasks 1. Implement Algorithm 1 in Python (2 marks) | Chegg.com
The “i+1 theory” that every language learner should know! - YouTube
Compound Assignment With Augmented Addition | by Aigamjs | Medium
7 expressions and assignment statements | PPT
Python If Else: Simplifying Conditional Statements
PPT - Python Programming | Python Programming For Beginners | Python ...
PPT - Control Structures in Algorithms: Sequencing with Input and ...
A I+1 - YouTube
[i+!] - YouTube
PPT - Fundamentals of Python: First Programs PowerPoint Presentation ...
Fundamentals of Python: First Programs Second Edition - ppt download
Learning Python
Computer Science 101 Introduction to Programming. - ppt download
Gaddis Python 3e Chapter 04 PPT.ppt
AI Assignment 1 | PDF
Types of Operators in C | PDF
18. Predict the output: N=int(input("Enter the number:")) For I in ...
Basics of Python Programming | PPTX
PPT - Chapter 2: Elementary Programming Shahriar Hossain PowerPoint ...
Augmented Assignments and Pre/Post Increments | Learn Java Programming ...
Multiple Assignment, Input and Arithmetic Operators || Python ...
Loops in C Programming | for Loop | do-while Loop | while Loop | Nested ...
Augmented Matrices and Elementary Row Operations | Linear Algebra ...
Python Tutor
i+1 i1 i1 i+2 i2 i2 i+j ij ij i+n in in: Ma trận Định thức | PDF
c++ - Understanding more about i++ and i=i+1 - Stack Overflow
1. Write a python program for the flowchart given: (5 Start i=2 FALSi
PPT - CSC 131 - Introduction to Computer Science I PowerPoint ...
How To Write Nested If Condition In Power Query
AI S-1 Assignment 1 | PDF
Solved Assignments / A1: Arithmetic Write a Python | Chegg.com
LAS205_2_Basic_Programming (1).bhbbhbhbhpdf | PDF
Algorithmic Problem Solving with Python.pdf
SOLVED: Using Python, please implement the same input-output function ...
IoT-Week1-Day1-Lab.pptx
for(i = 1; i
Answered: Part 2: Edit copy lab06.html, lab06.js… | bartleby
Loop alignment | PPTX
python_ass1/Assignment_1.py at main · vanshikafromgndu/python_ass1 · GitHub
A N ( ) I (N) : A Append ( ( ) ) (, (A) ) (, (A) ) : Int Input Range ...
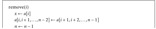
Solved addi,x) if n = length(a) then resize() a[i+1,i+2,..., | Chegg.com
while True: a = int(input("Enter the height of the | Chegg.com
Solved for (int i = 0; i
Solved For all n≥1,∑i=1ni(i+1)1=n+1n The correct proof will | Chegg.com
Answered: def insertion_sort(a): n = len(a) i=1 while i= 0 and a[j] >x ...
Tìm Hiểu Lệnh If Else Trong Python: Cách Sử Dụng Hiệu Quả Với Ví Dụ ...
I+1
Solved Ai={i,i+1,i+2,…}, for i∈N={1,2,3,…}⋃i=1∞Ai=[1,∞) and | Chegg.com
Based on this image's title: “i+=1 is not i=i+1. Augmented Assignment Statements in Python - YouTube”