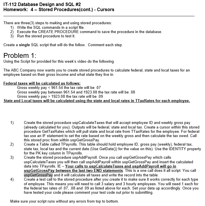
Solved IT-112 Database Design and SQL #2 Homework: 4 - | Chegg.com
Solved Write an SQL for the following problem and take a | Chegg.com
Solved Write SQL statements to create a database for the | Chegg.com
Solved 5.9 LAB - Database programming with Java (SQLite) | Chegg.com
Solved 9.9 LAB - Database programming with Java (SQLite) | Chegg.com
Solved 7.8 LAB - Database programming with Java (SQLite) | Chegg.com
Solved Write the SQL statements needed to complete each of | Chegg.com
SQL and Java Programming: Please help with the | Chegg.com
Solved Write SQL statements for the following queries. 1) | Chegg.com
Solved Connecting a java program to a database Create a new | Chegg.com
Solved Write SQL statements to answer the following | Chegg.com
Solved Please solve this SQL assignment for a Database | Chegg.com
Solved Exercise 1 (write the code in java language and use | Chegg.com
Solved Java - Data structures and algorithms | Chegg.com
Solved Problem Description and Given Info You must write | Chegg.com
Solved LAB - Database programming with Java | Chegg.com
Solved -Design the Following form using java and mysql only | Chegg.com
Solved Java code!!! Step-by-step and screenshot of | Chegg.com
Solved 4. Write SQL queries to answer the following | Chegg.com
Solved Write java Programming code The purpose of this | Chegg.com
Solved Problem Statement: Q001lisdb: Write an SQL statement | Chegg.com
Solved Discussion on Java Database Programming: Connecting | Chegg.com
Solved This is the database im using. This is a sql coding | Chegg.com
Solved Hi Guys, I want help with SQL program. Database | Chegg.com
Solved Create an SQL file called TASK4_1__.sql with the SQL | Chegg.com
Lab 8: Writing Java Database Applications using the | Chegg.com
Solved Hello can I please have help with this SQL | Chegg.com
Solved Java Code | Chegg.com
SQL and JAVA Practical | PDF | Table (Database) | Sql
SQL and Java Database Systems Lecture 19 - SQL and Java Dat abase Syst ...
Solved Question 1 - Database [30 marks] In this question, | Chegg.com
Solved Please help me with this Java assignment that must be | Chegg.com
Solved Problem 2: Programming with SQL 1. We consider the | Chegg.com
Solved SQL | Chegg.com
Solved Java question | Chegg.com
Solved Create a database for these data in such a way that | Chegg.com
Solved SQL problem, please help | Chegg.com
Solved Ch 9 Program 1 - Introduction to Writing Java Classes | Chegg.com
Solved Q2- Write SQL commands for the following:List all | Chegg.com
Solved I need you to make the SQL code for both of these | Chegg.com
Solved Problem StatementsQ1. Create the SQL Code for the | Chegg.com
4.1.2 Java Database Connectivity | JDBC | SQL Operations | SQL ...
Hello, I am trying to format this java code in sql | Chegg.com
Solved Hello, I need some help with SQL statements. I will | Chegg.com
Solved Need help with this java program. Thanks so much | Chegg.com
Solved We now explained the basic steps involved in an SQL | Chegg.com
Solved I need some help creating this Java program on | Chegg.com
Solved java | Chegg.com
Solved Hello chegg experts! I need help creating a java web | Chegg.com
Solved 9.9 LAB - Database programming with Java9.9.1: LAB | Chegg.com
In Chapter 2, you will run a SQL script to create the | Chegg.com
Solved Banking Application (10 points) Make the following | Chegg.com
java | Chegg.com
Solved Instructions - Try to answer all the questions using | Chegg.com
SQL Server Database Programming with Java: Concepts, Designs and ...
Solved Can you solve the following using Java, please. | Chegg.com
Solved Hello Chegg, I need help with this SQL. I have to | Chegg.com
Solved java, | Chegg.com
Solved Code in JAVA. I've seen the other posted in CHEGG | Chegg.com
Solved Directions Now that you have learned about using | Chegg.com
Solved PROBLEM DSECRIPTION In this assignment, you will | Chegg.com
Solved SQL. The answers to the previous chegg web pages were | Chegg.com
Solve using Data Structures And Algorithms in java. | Chegg.com
Solved (Database Programming Fundamentals) Step 1: Download | Chegg.com
C# Database Programming with Windows Forms and SQL Server Subtitle ...
Solved Please solve all of these questions using the CODES I | Chegg.com
Solved This homework allows students to practice the | Chegg.com
Solved Hello Chegg, I have an assignment based on MySQL. | Chegg.com
Java | Software Developer | Video Course & Notes Available - Java ...
Solved by an EXPERT Advanced SQL ExercisesThe Exercises for this ...
Java assignments for beginners and intermediates - Exercise 3 Answer ...
SQL. The answers to the previous chegg web pages were | Chegg.com
Complete Java Program: Database Programming with Java (SQLite ...
Connecting SQL with Java
This is the part of the code from a Chegg solution. | Chegg.com
SOLUTION: How to create a java application using sql - Studypool
Java Practise questions - Richfield has created a database (named src ...
I Trusted Java Collections… Then My Data Disappeared | by Kavya's ...
Online Java Compiler (Run Java Code in Browser) | igmGuru
Diorette Single Earring Pink Gold, Diamonds and Lacquer | DIOR
Java JDBC MySQL Connection Tutorial | Real Project Setup in VS Code ...
Learn basic to advanced Java programming skills for just $30 | ZDNET
CPSC304 In-Class Exercise: SQL Queries for Orchestra Database - Studocu
Your Java Code Works… But It’s a Nightmare to Read (Fix It With These ...
What you didn't know about Chegg and it impacts your career moat because...
10000+ Pages Programming Notes - 💯 FREE Java https://t.co/TAdMfffmTo ...
Outlier AI Chinese Translator Interview Questions | Glassdoor
Soldering and Crimping: Pros and Cons of Each Method
Webster County Throws Combined No-Hitter to Best Lady Panthers | Your ...
Java-Module-01: Scanned Notes and Code Examples - Studocu
SQL https://t.co/5iwy6YTOG2
JAVA PROGRAMMING (314317) Unit 3-6 Question Paper PART A & B - Studocu
Chegg, Sea, Wayfair, Etsy, and Duolingo Shares Skyrocket, What You Need ...
Wom -1 R LA s L B3: Java Programming Exercise Notes - Studocu
Java Web Applications Lab Guide: NWEB.M.L101 Version 1.1 - Studocu
Tupperware, ZoomInfo, Chegg, and More Stock Market Movers
IP All Practical - Practical 1 1. Develop application to store data in ...
Nike Factory Store Cheshire Oaks. ELLESMERE PORT, GBR. Nike.com GB
Layoffs Tracker 2026: Real-Time Company Layoffs Data
Normal White Blood Cell (WBC) Count - Face Surgery
Canada beats Italy in extra end to stay unbeaten
Draw Cis-1-ethyl-3-isopropylcyclohexane In Its Lowest Energy ...
Chegg Trivia Challenge: Students Solve Equations While Balancing on One Leg
Chegg Sues Alphabet, Says Google AI Led to Strategic Review
Chegg Layoffs 2024: Office Closures & Staff Cuts - News Usa Today
Propane Combustion Chemical Equation Is Rust A Synthesis Reaction ...
JC application - Mathematics paper - Go to web browser (google chrome ...
AI-powered study tools changing higher education
Draw Cis-1-ethyl-2-isopropylcyclohexane In Its Lowest Energy ...
java-algorithms/src/main/java/com/tananaev/problems at master ...
Based on this image's title: “Solved Write sql database and java code. * Application | Chegg.com”