Solved Optimize the following Boolean functions F together | Chegg.com
Solved A- Simplify the following Boolean function F together | Chegg.com
Solved Simplify the following Boolean function F together | Chegg.com
Solved Question 2Simplify the following Boolean function F | Chegg.com
Solved Problem 2) Optimize the following Boolean functions | Chegg.com
Solved 2. Simplify the Boolean function F together with the | Chegg.com
Solved Simplify the following Boolean function F, together | Chegg.com
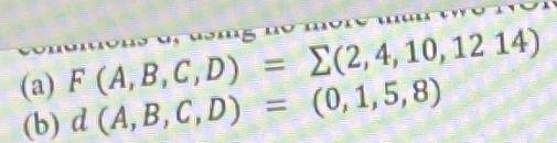
Solved roblem 2) Optimize the following Boolean functions by | Chegg.com
Solved Consider the following Boolean function F : | Chegg.com
Solved Optimize the following Boolean functions F together | Chegg.com
Solved 2-25 *Optimize the following Boolean functions F | Chegg.com
Solved 2-26. Optimize the following Boolean functions F | Chegg.com
Solved Question 2 (10 points) Optimize the following Boolean | Chegg.com
Solved 2. Simplify the following Boolean function F, | Chegg.com
Solved 2. Implement the following Boolean function with a 4 | Chegg.com
Solved Second Question: Given the following Boolean function | Chegg.com
Solved Problem 14 Simplify the following Boolean function F, | Chegg.com
Solved Question 2: (a) Simplify the Boolean function F | Chegg.com
Solved Implement the simplified following Boolean function | Chegg.com
Solved Implement the following Boolean function F, together | Chegg.com
Solved 6. Simplify the Boolean function F, together with the | Chegg.com
Solved Optimize the following Boolean functions by means of | Chegg.com
Solved Optimize the following Boolean functions in | Chegg.com
Solved Assignment 5 2-21 Optimize the following Boolean | Chegg.com
Solved Q3: Simplify the following Boolean function F, | Chegg.com
Solved Q1. Optimize the following Boolean functions in i) | Chegg.com
Solved Question 5 (2 mark) Optimize the following Boolean | Chegg.com
Solved Part 2: Boolean Functions 1. Simplify the following | Chegg.com
Solved 2. Simplify the following Boolean functions using | Chegg.com
Solved 2-15. *Optimize the following Boolean expressions | Chegg.com
Solved 2. Simplity the following Boolean functions using | Chegg.com
Solved 2-21. Optimize the following Boolean functions in | Chegg.com
Solved 2. Optimise the following boolean functions using a | Chegg.com
Solved 2 Simplify the following Boolean functions, using | Chegg.com
Solved Problem 2 Simplify the following Boolean functions, | Chegg.com
Solved 2. Minimize the Boolean function in both sum of | Chegg.com
Solved 2. Simplify the following Boolean functions, using | Chegg.com
Solved Problem 2: Implement the following Boolean function, | Chegg.com
Solved 2. Minimize the following Boolean functions into | Chegg.com
Solved [1] Simplify the following Boolean functions using | Chegg.com
Solved Problem 2 (20 pts.) Implement the following Boolean | Chegg.com
Solved Pl) Simplify the Boolean function shown below and | Chegg.com
Solved Given the Boolean function | Chegg.com
Solved Simplify the following Boolean functions F, together | Chegg.com
Solved Optimize the following functions into | Chegg.com
Solved Problem 1 (20 pts): Consider the following Boolean | Chegg.com
Solved [Q1] Consider the following Boolean functions F1, F2, | Chegg.com
Solved 3.2 Simplify the following Boolean functions, using | Chegg.com
Solved Problem 1 Simplify the Boolean function | Chegg.com
Solved Problem 5) For the following Boolean functions: | Chegg.com
SOLVED: [7] Simplify the following Boolean function F together with the ...
Solved Part 2: Boolean Functions (1) 1. Simplify the | Chegg.com
Solved (2) a) Implement the following Booleanfunction | Chegg.com
Solved 2. Solve the following optimization problems | Chegg.com
Solved 2. Determine whether the following sets form | Chegg.com
Solved 2. Consider the following optimization problem in n | Chegg.com
Solved 2. For each of the following optimisation problems: | Chegg.com
Solved 2. Find the directional derivative of the function by | Chegg.com
Solved Problem 6: Consider the following optimization | Chegg.com
Solved 2. (20%) (a) Following up on the class activities, | Chegg.com
Solved QUESTION 1For the following function, choose the | Chegg.com
Solved Solve the following optimization problem using | Chegg.com
Solved Q6 [10 POINTS]: Textbook Problem 2-17 Optimize the | Chegg.com
Solved Solve the following optimization problem using the | Chegg.com
Solved Given are the following two optimization problems: | Chegg.com
Solved Question 4. / 10 marks /Optimize the following | Chegg.com
(Solved) - 3.15 Simplify The Following Boolean Function F, Together ...
Solved Problem 2: Two Variables Optimization Consider the | Chegg.com
Solved solve the calculus 3 problem (Question3) | Chegg.com
Solved 2. Part 2: Implementing Boolean Functions using | Chegg.com
Solved 2 Find an equation for the line tangent to the curve | Chegg.com
Solved 2. One tosses 4 regular coins. What's the probability | Chegg.com
Solved E 2 3 5 R LOCK Lab #3 Worksheet Watch the video on | Chegg.com ...
Solved Counterexamples 2 worksheet Name: Each of the | Chegg.com ...
Solved 2. The rate of work progress in percentage of | Chegg.com
Solved 2.1 In the given Fig.2 below, total effective current | Chegg.com
Solved (2 Points) The narrator gets kicked out of school | Chegg.com
Solved Dilution Worksheet #2 Show all work in the spaces | Chegg.com ...
Solved Balancing Equations Worksheet 2) | Chegg.com - Worksheets Library
Solved Practice Sample Problem. Two Boolean functions | Chegg.com
Solved Exam 2 General Chemistry WTK 600pm Name MULTIPLE | Chegg.com
Solved 2. Suppose an, bn, Cn and S are sequences of positive | Chegg.com
Solved (2) Systems of Linear Differential Equations and | Chegg.com
Solved 2.1 LAB: Divide by x Write a program using integers | Chegg.com
Solved Problem 2 Given orthographic projection views (front, | Chegg.com
Solved 2 Mechanics of materials | Chegg.com
Solved Problem 2 - Pattern matching with a regular | Chegg.com
Solved 2. A ball ' B1 ' of mass m moving with speed v | Chegg.com
Solved **Solve all of them in detail. (Solve 2.1, 2.2, 2.3, | Chegg.com
Solved Project 2: Optimisation Important: Part 1 and Part 2 | Chegg.com
Solved 2.25 LAB: Driving costs Driving is expensive. Write a | Chegg.com
Solved 2. Several incomplete statements are listed below. | Chegg.com
Solved 2.1 Interpret analytical data using appropriate | Chegg.com
Solved 2.13 LAB: Divide input integers Write a program that | Chegg.com
Solved Problem 1 (10 points): Disjoint Sets via Quick Union | Chegg.com
Solved Consider an optimisation problem involving two | Chegg.com
Solved Question 1 of 60When 4x2-5x+5 is divided by x-1, | Chegg.com ...
Solved: Find all solutions to the equation. x/x+3 = 3/(x+2)(x+3) Choose ...
Solved: Use a double-angle formula to find the exact value of the given ...
Synthesis Reaction Worksheet - prntbl.concejomunicipaldechinu.gov.co
Dilutions Worksheet essentials.pdf - Name: Part II: Dilutions ...
Free currency conversions worksheet, Download Free currency conversions ...
Free force problems worksheet, Download Free force problems worksheet ...
Free marketing communication worksheet, Download Free marketing ...
Free significant digits worksheet, Download Free significant digits ...
[コンプリート!] 1km to mm 227134-1km to mm
Label a Bacteria Cell and Learn about Prokaryotes - Worksheets Library
Solved: Solve for all values of æ. Answer Attempt 1 out of2 log _7(x^2 ...
Zygospores Microscope - brewmoms
Triangle Congruence, Tier 2: Triangle Congruence Worksheet ...
Solved: Find f'(x) when f(x)= (x^5+2x^3-2x^2+x)/2sqrt[3](x) f'(x ...
Based on this image's title: “Solved 2) Optimize the following Boolean function F together | Chegg.com”